License: CC BY 4.0
arXiv:2512.02486v2 [cs.LG] 09 Mar 2026

Dual-Robust Cross-Domain Offline Reinforcement Learning Against Dynamics Shifts

Zhongjian Qiao1, Rui Yang2, Jiafei Lyu6, Xiu Li3, Zhongxiang Dai5, Zhuoran Yang4,
 Siyang Gao1, Shuang Qiu1
1CityUHK, 2UIUC, 3Tsinghua University, 4Yale University, 5CUHK(SZ), 6Tencent
 zhongqiao2-c@my.cityu.edu.hk, shuanqiu@cityu.edu.hk
Corresponding Author
Abstract

Single-domain offline reinforcement learning (RL) often suffers from limited data coverage, while cross-domain offline RL handles this issue by leveraging additional data from other domains with dynamics shifts. However, existing studies primarily focus on train-time robustness (handling dynamics shifts from training data), neglecting the test-time robustness against dynamics perturbations when deployed in practical scenarios. In this paper, we investigate dual (both train-time and test-time) robustness against dynamics shifts in cross-domain offline RL. We first empirically show that the policy trained with cross-domain offline RL exhibits fragility under dynamics perturbations during evaluation, particularly when target domain data is limited. To address this, we introduce a novel robust cross-domain Bellman (RCB) operator, which enhances test-time robustness against dynamics perturbations while staying conservative to the out-of-distribution dynamics transitions, thus guaranteeing the train-time robustness. To further counteract potential value overestimation or underestimation caused by the RCB operator, we introduce two techniques, the dynamic value penalty and the Huber loss, into our framework, resulting in the practical Dual-RObust Cross-domain Offline RL (DROCO) algorithm. Extensive empirical results across various dynamics shift scenarios show that DROCO outperforms strong baselines and exhibits enhanced robustness to dynamics perturbations. Code is available at https://github.com/zq2r/DROCO.git.

1 Introduction

Reinforcement learning (RL) (Sutton and Barto, 1999) has been a vital tool in various fields, such as embodied manipulation (Zakka et al., 2023; Jiao et al., 2025) and natural language processing (Ouyang et al., 2022; Rafailov et al., 2023). The success of typical RL often relies on numerous online interactions with the environment, which can be costly or even risky in the real world. Offline RL (Levine et al., 2020), instead, trains the policy with only a pre-logged offline dataset, eliminating the need for interactions with the environment. However, offline RL often struggles with a limited offline dataset. To address this, recent studies (Wen et al., 2024; Lyu et al., 2025; Liu et al., 2022) have explored Cross-Domain Offline RL. In this setting, data from the target domain is limited, but we have access to datasets from a relevant but distinct domain (the source domain), which may contain sufficient offline data. The goal of cross-domain offline RL is to utilize the datasets from both the source domain and the target domain to learn an effective policy for the target environment.

Although cross-domain offline RL is promising, simply merging the source domain dataset and target domain dataset for policy training induces policy divergence and suboptimal performance (Wen et al., 2024). The issue stems from the dynamics mismatch: the transition dynamics of the source domain may differ from that of the target domain. Recent advances tackle this issue by learning domain classifiers to estimate the dynamics gap (Liu et al., 2022), or by filtering source domain data based on mutual information (Wen et al., 2024) or optimal transport (Lyu et al., 2025). These works focus on enhancing the train-time robustness of the policy against dynamics shifts, that is, handling the source-target dynamics mismatch. However, they overlook the occurrence of potential dynamics shifts during the deployment of the learned policy in real-world environments. For example, an RL policy for robotics manipulation is trained on data collected from a real robot (target domain data) and an imperfect simulator (source domain data). When the policy is deployed on the real robot, the robot’s physical components may degrade over time, causing the transition dynamics to deviate from that observed in the target domain dataset. Consequently, the policy’s performance may deteriorate during deployment, highlighting the need for methods that ensure test-time robustness, that is, addressing the dynamics mismatch between the target and deployment environment.

In this paper, we initiate the investigation of dual (both train-time and test-time) robustness to dynamics shifts in cross-domain offline RL. We first empirically show that with limited target domain data, the learned policy could be highly fragile to test-time dynamics shifts. To address this issue, we propose Dual-RObust Cross-domain Offline RL (DROCO), bringing a new perspective on robustness specifically tailored for cross-domain offline RL, going beyond single-domain robust RL (Iyengar, 2005; Kuang et al., 2022). The core component of DROCO is a novel robust cross-domain Bellman (RCB) operator, which we theoretically prove enhances test-time robustness against dynamics perturbations while remaining conservative to the out-of-distribution (OOD) dynamics transitions (Liu et al., 2024a), thus guaranteeing train-time robustness. However, value overestimation or underestimation may occur when using the RCB operator. To mitigate this, we introduce two techniques, the dynamic value penalty and the Huber loss (Huber, 1973), to our framework, resulting in our practical DROCO algorithm. Our contributions are summarized as follows.

  • We empirically demonstrate the fragility of cross-domain offline RL to test-time dynamics shifts and initiate the study of dual robustness in this setting, contributing new perspectives to the field.

  • We introduce a novel RCB operator that is theoretically proven to achieve dual robustness against dynamics shifts. We further introduce dynamic value penalty and Huber loss to mitigate value overestimation or underestimation, yielding our practical algorithm, DROCO.

  • Extensive experiments across diverse dynamics shift scenarios including kinematic and morphology shifts demonstrate that DROCO outperforms strong baselines and exhibits significant robustness against various test-time dynamics perturbations.

2 Preliminaries

RL. We consider a Markov Decision Process (MDP) (Puterman, 1990) which is defined by the six-tuple =(𝒮,𝒜,P,r,ρ,γ)\mathcal{M}=(\mathcal{S},\mathcal{A},P,r,\rho,\gamma) where 𝒮\mathcal{S} is the state space, 𝒜\mathcal{A} is the action space, P:𝒮×𝒜Δ(𝒮)P:\mathcal{S}\times\mathcal{A}\rightarrow\Delta(\mathcal{S}) is the transition dynamics, Δ()\Delta(\cdot) is the probability simplex, r(s,a):𝒮×𝒜[rmax,rmax]r(s,a):\mathcal{S}\times\mathcal{A}\rightarrow[-r_{\rm max},r_{\rm max}] is the reward function, ρ\rho is the initial state distribution, and γ\gamma is the discount factor. The objective of RL is to learn a policy π:𝒮Δ(𝒜)\pi:\mathcal{S}\rightarrow\Delta(\mathcal{A}) that maximizes the expected discounted cumulative return 𝔼π[t=0γtr(st,at)]\mathbb{E}_{\pi}\left[\sum_{t=0}^{\infty}\gamma^{t}r(s_{t},a_{t})\right]. We define Qπ(s,a):=𝔼π[t=0γtr(st,at)|s0=s,a0=a]Q^{\pi}(s,a):=\mathbb{E}_{\pi}\left[\sum_{t=0}^{\infty}\gamma^{t}r(s_{t},a_{t})|s_{0}=s,a_{0}=a\right] and Vπ(s):=𝔼aπ(|s)[Qπ(s,a)]V^{\pi}(s):=\mathbb{E}_{a\sim\pi(\cdot|s)}\left[Q^{\pi}(s,a)\right].

Cross-Domain RL. In cross-domain RL, we have access to a source domain MDP src=(𝒮,𝒜,Psrc,r,ρ,γ)\mathcal{M}_{\text{src}}=(\mathcal{S},\mathcal{A},P_{\text{src}},r,\rho,\gamma) and a target domain MDP tar=(𝒮,𝒜,Ptar,r,ρ,γ)\mathcal{M}_{\text{tar}}=(\mathcal{S},\mathcal{A},P_{\text{tar}},r,\rho,\gamma). The only difference between the two domains is the transition dynamics, as considered by previous works (Wen et al., 2024; Lyu et al., 2025; Qiao et al., 2025b). In the offline setting, only a target domain dataset 𝒟tar\mathcal{D}_{\text{tar}} and a source domain dataset 𝒟src\mathcal{D}_{\text{src}} are available. We aim to leverage the mixed dataset 𝒟src𝒟tar\mathcal{D}_{\text{src}}\cup\mathcal{D}_{\text{tar}} to learn a well-performing agent in the target domain.

Enhancing Robustness in RL. Robust RL aims to optimize the worst-case policy performance to enhance the robustness against environmental perturbations. Different from standard RL, robust RL applies the following robust Bellman operator for Bellman backup:

𝒯robustQ(s,a)=r(s,a)+γinfϵ𝔼sP(|s,a)[maxa𝒜Q(s,a)],\mathcal{T}_{\text{robust}}Q(s,a)=r(s,a)+\gamma\inf_{\mathcal{M}\in\mathcal{M}_{\epsilon}}\mathbb{E}_{s^{\prime}\sim P_{\mathcal{M}}(\cdot|s,a)}\left[\max_{a^{\prime}\in\mathcal{A}}Q(s^{\prime},a^{\prime})\right],

where ϵ\mathcal{M}_{\epsilon} is the dynamics uncertainty set under some distance metric. If we choose Wasserstein distance (Villani and others, 2008) as the distance metric, then ϵ\mathcal{M}_{\epsilon} is the Wasserstein uncertainty set:

ϵ={^:𝒲(P(|s,a),P^(|s,a))ϵ},\mathcal{M}_{\epsilon}=\{\widehat{\mathcal{M}}:\mathcal{W}\left(P_{\mathcal{M}}(\cdot|s,a),P_{\widehat{\mathcal{M}}}(\cdot|s,a)\right)\leq\epsilon\}, (1)

where 𝒲(P(|s,a),P^(|s,a))=infγΓ(P,PM^)𝔼s1,s2γ[d(s1,s2)]\mathcal{W}\left(P_{\mathcal{M}}(\cdot|s,a),P_{\widehat{\mathcal{M}}}(\cdot|s,a)\right)=\inf_{\gamma\in\Gamma(P_{\mathcal{M}},P_{\widehat{M}})}\mathbb{E}_{s^{\prime}_{1},s^{\prime}_{2}\sim\gamma}\left[d(s^{\prime}_{1},s^{\prime}_{2})\right] is the Wasserstein distance between P(|s,a)P_{\mathcal{M}}(\cdot|s,a) and P^(|s,a)P_{\widehat{\mathcal{M}}}(\cdot|s,a), Γ(,)\Gamma(\cdot,\cdot) is the joint distribution, and d(,)d(\cdot,\cdot) is an element-wise distance metric such as the Euclidean distance.

3 Is Cross-Domain Offline RL Sensitive to Test-Time Dynamics Perturbations?

To motivate our approach, we conduct an empirical study on the sensitivity of cross-domain offline RL to test-time perturbations. Our key finding is that cross-domain offline RL could be highly sensitive to test-time dynamics perturbations, especially when limited target domain data is given. Therefore, enhancing test-time robustness is crucial for cross-domain offline RL.

Refer to caption
Figure 1: Performance comparison with different dataset sizes under dynamics perturbations.

We adopt the hopper-v2 task from MuJoCo (Todorov et al., 2012) as our target domain, and the full-size hopper-expert-v2 dataset from D4RL (Fu et al., 2020) as the target domain dataset. To simulate dynamics shifts in the source domain, we create a modified hopper-v2 environment with kinematic shifts (called hopper-kinematic-v2) by constraining the robot’s joint rotation range. For the source domain dataset, we train an expert-level SAC (Haarnoja et al., 2018) policy and collect 1M samples in hopper-kinematic-v2 environment with it. To examine the test-time robustness of cross-domain offline RL, we first train a policy using IGDF (Wen et al., 2024) on the full-size source and target domain datasets for 1M steps. We then evaluate the trained policy under four conditions: (1) the original target environment (clean), and (2-4) kinematic perturbations with three levels (easy, medium, hard) following Lyu et al. (2024b). As shown by the blue curve in Figure 1, the policy demonstrates vulnerability to intense dynamics shifts, with performance degradation of 40.9%40.9\% (medium) and 72.4%72.4\% (hard) compared to the clean environment.

To better mimic the challenges when target domain data is limited in cross-domain offline RL, we construct a reduced target domain dataset by sampling only 10%10\% of the hopper-expert-v2 dataset. Our experiments reveal that the policy trained with this limited target data (while retaining full source domain data) is significantly more vulnerable to dynamics perturbations. As illustrated by the orange curve in Figure 1, performance degradation intensifies across all shift levels compared to the full-data case, demonstrating substantially reduced test-time robustness.

We attribute this phenomenon to the discrepancy between the true dynamics and the observed dynamics in the target domain dataset, whose magnitude inversely correlates with the dataset size. This discrepancy causes the policy to overfit to the dataset dynamics, thereby reducing its robustness to dynamics perturbations. These results highlight the necessity of enhancing test-time robustness against dynamics shifts for cross-domain offline RL, which we address in the following section.

4 Dual-Robust Cross-Domain Offline RL

In this section, we present dual-robust cross-domain offline RL. Inspired by Liu et al. (2024c), we first define the robust cross-domain Bellman (RCB) operator and additionally provide a practical version of it. We then show that dual-robustness can be achieved by applying the RCB operator solely on the source domain data. Finally, we present our practical algorithm, DROCO.

4.1 Robust Cross-Domain Bellman Operator

Definition 4.1 (RCB operator).

The robust cross-domain Bellman (RCB) operator 𝒯RCB\mathcal{T}_{\mathrm{RCB}} is defined as

𝒯RCBQ={r+γ𝔼sP[maxaμ^(|s)Q(s,a)],if=tarr+γinf^ϵ𝔼sP^[maxaμ^(|s)Q(s,a)],if=src,\mathcal{T}_{\mathrm{RCB}}Q=\begin{cases}r+\gamma\mathbb{E}_{s^{\prime}\sim P_{\mathcal{M}}}\bigg[\max\limits_{a^{\prime}\sim\hat{\mu}(\cdot|s^{\prime})}Q(s^{\prime},a^{\prime})\bigg],&\quad\mathrm{if}\ \mathcal{M}=\mathcal{M}_{\mathrm{tar}}\\ r+\gamma\inf_{\widehat{\mathcal{M}}\in\mathcal{M}_{\epsilon}}\mathbb{E}_{s^{\prime}\sim P_{\widehat{\mathcal{M}}}}\bigg[\max\limits_{a^{\prime}\sim\hat{\mu}(\cdot|s^{\prime})}Q(s^{\prime},a^{\prime})\bigg],&\quad\mathrm{if}\ \mathcal{M}=\mathcal{M}_{\mathrm{src}},\end{cases} (2)

where μ^(|)\hat{\mu}(\cdot|\cdot) is the behavior policy, and maxaμ^(|s)Q(s,a)\max_{a^{\prime}\sim\hat{\mu}(\cdot|s^{\prime})}Q(s^{\prime},a^{\prime}) denotes taking maximum over actions in the support of μ^(|s)\hat{\mu}(\cdot|s^{\prime}), i.e., maxa𝒜 s.t. μ^(a|s)>0Q(s,a)\max_{a^{\prime}\in\mathcal{A}\text{ s.t. }\hat{\mu}(a^{\prime}|s^{\prime})>0}Q(s^{\prime},a^{\prime}).

In Equation 2, we assume that the source and target domain datasets share the same behavior policy μ^\hat{\mu}, following Wen et al. (2024). Note that this assumption is only for notational simplicity. Even if it does not hold, we could replace μ^\hat{\mu} with the respective behavior policies without affecting our analysis. The basic idea behind the RCB operator is that if (s,a,s)(s,a,s^{\prime}) comes from the target domain dataset, we use the standard in-sample Bellman operator (Kostrikov et al., 2021; Xu et al., 2023) for backup to enhance the performance; if the data are sampled from the source domain dataset, we apply the in-sample robust Bellman operator (which integrates in-sample learning into the robust Bellman operator) to achieve dual robustness to dynamics shifts, which we will discuss later.

We now characterize the dynamic programming property of the RCB operator and give the following proposition. All proofs are deferred to Appendix B.

Proposition 4.1 (γ\gamma-contraction).

The RCB operator is a γ\gamma-contraction operator in the complete state-action space (|𝒮×𝒜|,)(\mathbb{R}^{|\mathcal{S}\times\mathcal{A}|},\|\cdot\|_{\infty}) where \|\cdot\|_{\infty} denotes the \ell_{\infty} norm, i.e., 𝒯RCBQ1𝒯RCBQ2γQ1Q2\|\mathcal{T}_{\text{RCB}}Q_{1}-\mathcal{T}_{\text{RCB}}Q_{2}\|_{\infty}\leq\gamma\|Q_{1}-Q_{2}\|_{\infty} for any Q-functions Q1Q_{1} and Q2Q_{2}.

Proposition 4.1 presents that the RCB operator is a γ\gamma-contraction in the tabular MDP setting. However, directly applying the RCB operator for backup is unrealistic, since we are not available to the uncertainty set ϵ\mathcal{M}_{\epsilon}, given that the source environment is a black box. To handle this issue, we introduce the following dual reformulation of Equation 2 under the Wasserstein distance measure.

Proposition 4.2 (Dual Reformulation).

Letting ϵ\mathcal{M}_{\epsilon} be the Wasserstein uncertainty set defined by Equation 1, then the term inf^ϵ𝔼sP^[maxaμ^(|s)Q(s,a)]\inf_{\widehat{\mathcal{M}}\in\mathcal{M}_{\epsilon}}\mathbb{E}_{s^{\prime}\sim P_{\widehat{\mathcal{M}}}}\big[\max_{a^{\prime}\sim\hat{\mu}(\cdot|s^{\prime})}Q(s^{\prime},a^{\prime})\big] in Equation 2 is equivalent to

𝔼sP[infs¯maxaμ^(|s¯)Q(s¯,a)],s.t.d(s,s¯)ϵ.\mathbb{E}_{s^{\prime}\sim P_{\mathcal{M}}}\bigg[\inf_{\bar{s}}\max\limits_{a^{\prime}\sim\hat{\mu}(\cdot|\bar{s})}Q(\bar{s},a^{\prime})\bigg],\quad s.t.\quad d(s^{\prime},\bar{s})\leq\epsilon.

Proposition 4.2 provides a solution for transforming the intractable dynamics disturbance into the tractable state perturbations. Based on Proposition 4.2, we propose the practical RCB operator.

Definition 4.2 (Practical RCB operator).

The practical RCB operator 𝒯^RCB\widehat{\mathcal{T}}_{\mathrm{RCB}} is defined as

𝒯^RCBQ={r+γ𝔼sP[maxaμ^(|s)Q(s,a)],if=tarr+γ𝔼sP[infs¯Uϵ(s)maxaμ^(|s¯)Q(s¯,a)],if=src\widehat{\mathcal{T}}_{\mathrm{RCB}}Q=\begin{cases}r+\gamma\mathbb{E}_{s^{\prime}\sim P_{\mathcal{M}}}\bigg[\max\limits_{a^{\prime}\sim\hat{\mu}(\cdot|s^{\prime})}Q(s^{\prime},a^{\prime})\bigg],\qquad\qquad\qquad\,\,\mathrm{if}\ \mathcal{M}=\mathcal{M}_{\mathrm{tar}}\\[10.00002pt] r+\gamma\mathbb{E}_{s^{\prime}\sim P_{\mathcal{M}}}\bigg[\inf_{\bar{s}\in U_{\epsilon}(s^{\prime})}\max\limits_{a^{\prime}\sim\hat{\mu}(\cdot|\bar{s})}Q(\bar{s},a^{\prime})\bigg],\qquad\,\,\mathrm{if}\ \mathcal{M}=\mathcal{M}_{\mathrm{src}}\end{cases}

where Uϵ(s)={s¯𝒮|d(s,s¯)ϵ}U_{\epsilon}(s^{\prime})=\left\{\bar{s}\in\mathcal{S}\,|\,d(s^{\prime},\bar{s})\leq\epsilon\right\} is the state uncertainty set.

The key distinction between 𝒯^RCB\widehat{\mathcal{T}}_{\text{RCB}} and 𝒯RCB\mathcal{T}_{\text{RCB}} lies in their Bellman target computation for source domain data. While 𝒯RCB\mathcal{T}_{\text{RCB}} requires the dynamics uncertainty set ϵ\mathcal{M}_{\epsilon} that is typically unavailable, 𝒯^RCB\widehat{\mathcal{T}}_{\text{RCB}} solely relies on the state uncertainty set Uϵ(s)U_{\epsilon}(s^{\prime}). Since ss^{\prime} is observable in the source domain dataset, Uϵ(s)U_{\epsilon}(s^{\prime}) can be constructed through noise perturbations of ss^{\prime}. This makes 𝒯^RCB\widehat{\mathcal{T}}_{\text{RCB}} more feasible for Bellman backup than 𝒯RCB\mathcal{T}_{\text{RCB}}, and the subsequent analyses are based on 𝒯^RCB\widehat{\mathcal{T}}_{\text{RCB}}. Moreover, the following proposition shows that 𝒯^RCB\widehat{\mathcal{T}}_{\text{RCB}} still possesses the same favorable property as 𝒯RCB\mathcal{T}_{\text{RCB}}, i.e., 𝒯^RCB\widehat{\mathcal{T}}_{\text{RCB}} remains a γ\gamma-contraction.

Proposition 4.3 (γ\gamma-contraction).

The practical RCB operator is a γ\gamma-contraction operator in the space (|𝒮×𝒜|,)(\mathbb{R}^{|\mathcal{S}\times\mathcal{A}|},\|\cdot\|_{\infty}), i.e., 𝒯^RCBQ1𝒯^RCBQ2γQ1Q2\|\widehat{\mathcal{T}}_{\text{RCB}}Q_{1}-\widehat{\mathcal{T}}_{\text{RCB}}Q_{2}\|_{\infty}\leq\gamma\|Q_{1}-Q_{2}\|_{\infty} for any Q1Q_{1} and Q2Q_{2}.

4.2 Dual Robustness against Dynamics Shifts

In this section, we conduct a comprehensive analysis of both train-time and test-time robustness against dynamics shifts when employing the practical RCB operator. We first make the Lipschitz continuity assumption about the learned QQ function, which is widely used in prior theoretical studies of RL (Mao et al., 2024; Ran et al., 2023; Xiong et al., 2022; Liu et al., 2024b).

Assumption 4.1 (Lipschitz QQ function).

The learned QQ function is KQK_{Q}-Lipschitz w.r.t. state ss, i.e., a𝒜\forall a\in\mathcal{A}, s1,s2𝒮\forall s_{1},s_{2}\in\mathcal{S}, |Q(s1,a)Q(s2,a)|KQs1s2\left|Q(s_{1},a)-Q(s_{2},a)\right|\leq K_{Q}\left\|s_{1}-s_{2}\right\|.

We then analyze the train-time robustness against dynamics shifts from source domain data. Standard Bellman updates on source domain data might cause QQ overestimation due to OOD dynamics issues (Liu et al., 2024a; Niu et al., 2022), necessitating a conservative QQ estimation for robust performance. Proposition 4.4 shows that the learned Q^RCB\hat{Q}_{\text{RCB}} maintains bounded by applying 𝒯^RCB\widehat{\mathcal{T}}_{\text{RCB}}.

Proposition 4.4 (Train-time robustness against dynamics shifts).

Assume that ϵ\epsilon is chosen such that supp(Ptar(s,a))Uϵ(ssrc)\operatorname{supp}\!\big(P_{\mathrm{tar}}(\cdot\mid s,a)\big)\subseteq U_{\epsilon}(s^{\prime}_{\mathrm{src}}) for all (s,a,ssrc)𝒟src(s,a,s^{\prime}_{\mathrm{src}})\sim\mathcal{D}_{\mathrm{src}}. Then under Assumption 4.1, the learned QQ function by applying 𝒯^RCB\widehat{\mathcal{T}}_{\text{RCB}} satisfies:

Qμ^(s,a)2γϵKQ1γQ^RCB(s,a)Qμ^(s,a),(s,a)𝒟src,Q^{\star}_{\hat{\mu}}(s,a)-\frac{2\gamma\epsilon K_{Q}}{1-\gamma}\leq\hat{Q}_{\text{RCB}}(s,a)\leq Q^{\star}_{\hat{\mu}}(s,a),\quad\forall(s,a)\in\mathcal{D}_{\mathrm{src}},

where Qμ^Q^{\star}_{\hat{\mu}} is the QQ function of optimal μ^\hat{\mu}-supported policy111π(|s)\pi(\cdot|s) is μ^\hat{\mu}-supported if π(a|s)=0\pi(a|s)=0 for any action aa that μ^(a|s)=0\hat{\mu}(a|s)=0. in the target domain.

Proposition 4.4 suggests that, if a proper ϵ\epsilon is chosen such that the uncertainty set Uϵ(ssrc)U_{\epsilon}(s^{\prime}_{\text{src}}) covers the support of Ptar(|s,a)P_{\text{tar}}(\cdot|s,a), then the erroneous value overestimation will not occur, and the OOD dynamics issue is mitigated. Thus, the train-time robustness against dynamics shifts is guaranteed. We then analyze the test-time robustness against the environmental dynamics perturbations. Let πRCB\pi_{\text{RCB}} and V^RCB\widehat{V}_{\text{RCB}} be the policy and value function learned by applying the practical RCB operator, respectively. When the target environment undergoes dynamics perturbations (Ptar()Pper())\left(P_{\text{tar}}(\cdot)\rightarrow P_{\text{per}}(\cdot)\right), the value function of πRCB\pi_{\text{RCB}} within perturbed dynamics PperP_{\text{per}}, denoted as VperπRCBV^{\pi_{\text{RCB}}}_{\text{per}}, is bounded by Proposition 4.5.

Proposition 4.5 (Test-time robustness against dynamics shifts).

Assume that ϵ\epsilon is chosen such that supp(Ptar(s,a))Uϵ(ssrc)\operatorname{supp}\!\big(P_{\mathrm{tar}}(\cdot\mid s,a)\big)\subseteq U_{\epsilon}(s^{\prime}_{\mathrm{src}}) for all (s,a,ssrc)𝒟src(s,a,s^{\prime}_{\mathrm{src}})\sim\mathcal{D}_{\mathrm{src}}. As long as 𝒲(Pper(|s,a),Ptar(|s,a))c\mathcal{W}(P_{\mathrm{per}}(\cdot|s,a),P_{\mathrm{tar}}(\cdot|s,a))\leq c, then for s0𝒟src\forall s_{0}\in\mathcal{D}_{\mathrm{src}}, we have

VperπRCB(s0)V^RCB(s0),V^{\pi_{\mathrm{RCB}}}_{\mathrm{per}}(s_{0})\geq\widehat{V}_{\mathrm{RCB}}(s_{0}), (3)

where c=max{c|Uc(star)Uϵ(ssrc),starPtar(|s,a),(s,a,ssrc)𝒟src}c=\max\left\{c\,|U_{c}(s^{\prime}_{\mathrm{tar}})\subseteq U_{\epsilon}(s^{\prime}_{\mathrm{src}}),s^{\prime}_{\mathrm{tar}}\sim P_{\mathrm{tar}}(\cdot|s,a),(s,a,s^{\prime}_{\mathrm{src}})\sim\mathcal{D}_{\mathrm{src}}\right\}.

Proposition 4.5 gives that, for any disturbance with intensity below the threshold cc (measured in Wasserstein distance), the value of the learned policy πRCB\pi_{\text{RCB}} in PperP_{\text{per}} exceeds V^RCB\widehat{V}_{\text{RCB}}. This implies that for any initial state s0𝒟srcs_{0}\in\mathcal{D}_{\mathrm{src}}, πRCB\pi_{\text{RCB}} achieves better performance under perturbed dynamics PperP_{\text{per}} than in the worst-case scenario, thereby improving test-time robustness against dynamics shifts. Furthermore, Proposition 4.4 and Proposition 4.5 reveal that, (1) dual robustness can be achieved by solely applying the RCB operator to the source domain data; (2) there is a trade-off between the two robustness notions, which is controlled by ϵ\epsilon. More discussions can be found in Appendix A.

4.3 Practical Algorithm

In Section 4.1, we formalize the practical RCB operator. Its application presents two key challenges: (1) determining the uncertainty set Uϵ(ssrc)U_{\epsilon}(s^{\prime}_{\text{src}}); (2) computing the minimum QQ value within this set. Although one can fix ϵ\epsilon and adopt random sampling within Uϵ(ssrc)U_{\epsilon}(s^{\prime}_{\text{src}}), it lacks flexibility. In addition, if PsrcP_{\text{src}} deviates far from PtarP_{\text{tar}}, then ϵ\epsilon would be too large, leading to overconservatism, compromising the performance. To address these limitations, we propose our practical algorithm, DROCO.

Determining the uncertainty set via ensemble dynamics modeling. Instead of fixing ϵ\epsilon and randomly sampling from Uϵ(ssrc)U_{\epsilon}(s^{\prime}_{\text{src}}), DROCO first trains an ensemble dynamics model (Janner et al., 2019; Yu et al., 2020; Liu et al., 2024c) P^ψ()={P^ψi()}i=1N\widehat{P}_{\psi}(\cdot)=\{\widehat{P}_{\psi_{i}}(\cdot)\}_{i=1}^{N} on 𝒟tar\mathcal{D}_{\text{tar}} via maximum likelihood estimation (MLE) to simulate Ptar()P_{\text{tar}}(\cdot):

ψi=𝔼(s,a,s)𝒟tar[logP^ψi(s|s,a)],i=1,2,,N\mathcal{L}_{\psi_{i}}=\mathbb{E}_{(s,a,s^{\prime})\in\mathcal{D}_{\text{tar}}}\left[\log\widehat{P}_{\psi_{i}}(s^{\prime}|s,a)\right],\qquad i=1,2,...,N (4)

then we use the ensemble prediction set 𝒳={s1,,sN|siP^ψi(|s,a),(s,a)𝒟src}\mathcal{X}=\big\{s^{\prime}_{1},\cdots,s^{\prime}_{N}|s^{\prime}_{i}\sim\widehat{P}_{\psi_{i}}(\cdot|s,a),(s,a)\in\mathcal{D}_{\text{src}}\big\} to approximate sampling from the uncertainty set. This replacement is motivated by two key insights: (1) dual robustness only requires the uncertainty set around support of Ptar(|s,a)P_{\text{tar}}(\cdot|s,a) rather than ssrcs^{\prime}_{\text{src}}, thus alleviating the unnecessary conservatism; (2) each ensemble member’s prediction naturally serves as a sample from this uncertainty set. In this way, the practical RCB operator for source domain data becomes:

𝒯^RCBQ=r+γinf{si}NP^ψi[maxaiμ^(|si)Q(si,ai)],if=src.\widehat{\mathcal{T}}_{\text{RCB}}Q=r+\gamma\inf_{\{s^{\prime}_{i}\}^{N}\sim\widehat{P}_{\psi_{i}}}\left[\max\limits_{a^{\prime}_{i}\sim\hat{\mu}(\cdot|s^{\prime}_{i})}Q(s^{\prime}_{i},a^{\prime}_{i})\right],\qquad\text{if}\,\,\,\mathcal{M}=\mathcal{M}_{\text{src}}. (5)

However, the ensemble prediction set cannot cover the support of Ptar()P_{\text{tar}}(\cdot) as required in Proposition 4.4, such that the overestimation of QQ value may still occur. Proposition 4.6 reveals that only limited overestimation would occur when applying Equation 5 as the Bellman target.

Proposition 4.6 (Limited overestimation).

If sups,aDTV(P^ψ(|s,a),Ptar(|s,a))ϵ<12\sup_{s,a}D_{TV}(\widehat{P}_{\psi}(\cdot|s,a),P_{\mathrm{tar}}(\cdot|s,a))\leq\epsilon<\frac{1}{2}, we have

inf{si}NP^ψi(|s,a)[maxaiμ^(|si)Q(si,ai)]𝔼sPtar(|s,a)[maxaμ^(|s)Q(s,a)]+(1(12ϵ)N)rmax1γ.\inf_{\{s^{\prime}_{i}\}^{N}\sim\widehat{P}_{\psi_{i}}(\cdot|s,a)}\bigg[\max\limits_{a^{\prime}_{i}\sim\hat{\mu}(\cdot|s^{\prime}_{i})}Q(s^{\prime}_{i},a^{\prime}_{i})\bigg]\leq\mathbb{E}_{s^{\prime}\sim P_{\mathrm{tar}}(\cdot|s,a)}\bigg[\max\limits_{a^{\prime}\sim\hat{\mu}(\cdot|s^{\prime})}Q(s^{\prime},a^{\prime})\bigg]+(1-(1-2\epsilon)^{N})\frac{r_{\mathrm{max}}}{1-\gamma}.

Proposition 4.6 holds under the assumption that the prediction error of the dynamics model stays small, which is difficult to fulfill given that the target domain data is limited and the dynamics model tends to overfit. Moreover, value underestimation may also occur due to the infimum operator. Therefore, we introduce the following techniques for the underlying value estimation issue.

Tackling overestimation and underestimation. We adopt two techniques to address the value estimation issue: dynamic value penalty, and using Huber loss (Huber, 1973) for Bellman update.

Instead of directly using Equation 5 for Bellman backup, we introduce a value penalty term:

u(s,a,s)=𝕀(sPsrc(|s,a))(maxaμ^(|s)Q(s,a)inf{si}NP^ψi(|s,a)[maxaiμ^(|si)Q(si,ai)]).u(s,a,s^{\prime})=\mathbb{I}\left(s^{\prime}\sim P_{\text{src}}(\cdot|s,a)\right)\cdot\bigg(\max_{a^{\prime}\sim\hat{\mu}(\cdot|s^{\prime})}Q(s^{\prime},a^{\prime})-\inf_{\{s^{\prime}_{i}\}^{N}\sim\widehat{P}_{\psi_{i}}(\cdot|s,a)}\bigg[\max\limits_{a^{\prime}_{i}\sim\hat{\mu}(\cdot|s^{\prime}_{i})}Q(s^{\prime}_{i},a^{\prime}_{i})\bigg]\bigg). (6)

We then unify the source and target dynamics in the practical RCB operator, reformulating it as

𝒯^RCBQ(s,a)=r(s,a)+γ𝔼sP(|s,a)[maxaμ^(|s)Q(s,a)βu(s,a,s)],\widehat{\mathcal{T}}_{\text{RCB}}Q(s,a)=r(s,a)+\gamma\mathbb{E}_{s^{\prime}\sim P_{\mathcal{M}}(\cdot|s,a)}\bigg[\max\limits_{a^{\prime}\sim\hat{\mu}(\cdot|s^{\prime})}Q(s^{\prime},a^{\prime})-\beta\cdot u(s,a,s^{\prime})\bigg], (7)

where =tar\mathcal{M}=\mathcal{M}_{\text{tar}} or src\mathcal{M}_{\text{src}} and β\beta serves as a dynamic penalty coefficient that provides flexible control over value estimation. Specifically, we recover the practical RCB operator by setting β\beta to 1.0, β>1.0\beta>1.0 will increase the penalty to mitigate value overestimation, and β<1.0\beta<1.0 reduces the penalty to alleviate value underestimation. Although the dynamics model and value penalty are widely applied in offline RL (Yu et al., 2020; Sun et al., 2023; Liu et al., 2024c; Qiao et al., 2025a), our difference lies in the specific usage of the dynamics model and design of the penalty term.

Remark. If we use IQL (Kostrikov et al., 2021) for policy optimization, then maxaμ^(|s)Q(s,a)V(s)\max_{a^{\prime}\sim\hat{\mu}(\cdot|s^{\prime})}Q(s^{\prime},a^{\prime})\approx V(s^{\prime}), and Equation 6 can be re-written as

u(s,a,s)=𝕀(sPsrc(|s,a))(V(s)inf{si}NP^ψi(|s,a)[V(si)]).u(s,a,s^{\prime})=\mathbb{I}\left(s^{\prime}\sim P_{\text{src}}(\cdot|s,a)\right)\cdot\bigg(V(s^{\prime})-\inf_{\{s^{\prime}_{i}\}^{N}\sim\widehat{P}_{\psi_{i}}(\cdot|s,a)}\left[V(s^{\prime}_{i})\right]\bigg). (8)

We note that Equation 8 resembles the value discrepancy term in VGDF (Xu et al., 2024), which is V(s)𝔼{si}NP^ψi(|s,a)[V(si)]V(s^{\prime})-\mathbb{E}_{\{s^{\prime}_{i}\}^{N}\sim\widehat{P}_{\psi_{i}}(\cdot|s,a)}\left[V(s^{\prime}_{i})\right]. However, we extend this term by incorporating additional penalties for test-time dynamics shifts, whereas VGDF only addresses train-time dynamics shifts.

The second technique we adopt is the Huber loss (Huber, 1973), a well-established technique for noise-resistant optimization (Yang et al., 2024b; Roy et al., 2021). We replace the regular 2\ell_{2} loss in the Bellman update with the Huber loss:

Q=𝔼𝒟src[lδ(Q(s,a)𝒯^RCBQ(s,a))]+12𝔼𝒟tar[(Q(s,a)𝒯Q(s,a))2],\mathcal{L}_{Q}=\mathbb{E}_{\mathcal{D}_{\mathrm{src}}}\left[l_{\delta}\left(Q(s,a)-\widehat{\mathcal{T}}_{\text{RCB}}Q(s,a)\right)\right]+\frac{1}{2}\mathbb{E}_{\mathcal{D}_{\mathrm{tar}}}\left[\left(Q(s,a)-\mathcal{T}Q(s,a)\right)^{2}\right], (9)

where lδ(a)={0.5a2,|a|<δδ(|a|0.5δ),|a|δl_{\delta}(a)=\textstyle\begin{cases}0.5a^{2},&|a|<\delta\\ \delta(|a|-0.5\delta),&|a|\geq\delta\end{cases} with δ\delta being the transition threshold and 𝒯\mathcal{T} being the standard Bellman operator for target domain data. Specifically, if a severe value estimation error occurs such that |Q(s,a)𝒯^RCBQ(s,a)|>δ|Q(s,a)-\widehat{\mathcal{T}}_{\text{RCB}}Q(s,a)|>\delta, the 2\ell_{2} loss would transition to 1\ell_{1} loss to improve robustness against outliers. This technique helps mitigate value estimation error. The last step is to utilize offline RL algorithms such as IQL to optimize the policy as in other works (Lyu et al., 2025; Wen et al., 2024). We present the detailed pseudo-code of DROCO in Appendix D.2.

5 Experiments

In this section, we conduct extensive experiments to examine our method. We aim to answer the following two questions: (1) Can DROCO outperform prior strong baselines across various train-time dynamics shifts and dataset qualities? (2) Can DROCO show enhanced robustness against test-time dynamics perturbations? We also test the parameter sensitivity of DROCO.

5.1 Main Results

Table 1: Evaluation Results with train-time kinematic shifts. half=halfcheetah, hopp=hopper, walk=walker2d, m=medium, me=medium-expert, mr=medium-replay, e=expert. We report the normalized score evaluated in the target domain, and ±\pm captures the standard deviation across 5 seeds.
Dataset IQL\text{IQL}^{\star} CQL\text{CQL}^{\star} BOSA DARA IGDF OTDF DROCO (Ours)
half-m 45.2 37.7 39.6 44.1 45.2±\pm0.1 42.2±\pm0.1 45.3±\pm0.2
half-mr 22.1 23.6 26.3 21.6 22.9±\pm1.4 15.6±\pm3.1 26.9±\pm3.2
half-me 43.7 54.8 42.2 52.7 57.1±\pm8.9 46.7±\pm4.4 60.1±\pm7.1
half-e 49.7 36.0 84.3 47.4 47.6±\pm2.1 79.6±\pm3.0 67.4±\pm5.8
hopp-m 48.8 35.7 71.4 48.8 54.3±\pm6.6 46.3±\pm3.7 55.4±\pm5.3
hopp-mr 40.2 43.2 29.5 41.6 30.0±\pm5.2 26.2±\pm4.4 47.3±\pm7.0
hopp-me 12.5 7.8 49.6 17.0 11.6±\pm0.6 58.1±\pm4.9 54.0±\pm6.4
hopp-e 62.6 47.9 94.8 59.1 70.1±\pm3.2 97.0±\pm3.3 89.3±\pm9.6
walk-m 48.7 47.7 44.5 43.4 51.8±\pm2.4 43.0±\pm2.1 70.8±\pm3.3
walk-mr 12.6 17.8 4.8 15.6 11.2±\pm1.1 10.7±\pm1.9 27.7±\pm3.0
walk-me 95.4 61.4 35.1 85.3 90.6±\pm3.4 63.1±\pm6.6 78.5±\pm6.7
walk-e 90.1 83.8 41.9 85.5 93.7±\pm5.8 98.9±\pm2.1 106.0±\pm0.8
ant-m 89.9 58.2 28.4 98.9 88.0±\pm4.6 86.1±\pm3.7 92.7±\pm6.3
ant-mr 46.8 39.4 22.0 42.1 58.2±\pm9.7 39.6±\pm8.1 44.8±\pm4.5
ant-me 106.1 100.6 102.5 104.8 112.8±\pm4.0 105.1±\pm3.9 119.0±\pm3.6
ant-e 111.0 94.3 57.6 115.1 119.2±\pm5.6 111.6±\pm2.9 120.0±\pm2.1
Total 925.4 789.9 774.5 923.0 964.3 969.8 1105.2

Experimental Settings. Following previous works (Lyu et al., 2025; Wen et al., 2024), We employ 4 MuJoCo (Todorov et al., 2012) tasks as source domains: halfcheetah-v2, hopper-v2, walker2d-v2, and ant-v3. For the target domain datasets, we utilize 4 data qualities from D4RL (Fu et al., 2020) for each task: medium, medium-replay, medium-expert, and expert, totaling 16 target domain datasets. For the source domain, we introduce kinematic shifts and morphology shifts in the target domain setup. We collect source domain datasets with 4 data qualities, resulting in a total of 32 (4[tasks]×2[shift types]×4[data qualities])\left(4[\texttt{tasks}]\times 2[\texttt{shift types}]\times 4[\texttt{data qualities}]\right) source domain datasets. Each pair of the source and target domain datasets shares the same task type (such as hopper-v2) and dataset quality (such as expert). More details about the tasks and datasets can be found in Appendix C.1.

Baselines. We consider the following baselines: IQL\text{IQL}^{\star}, CQL\text{CQL}^{\star} (which train IQL (Kostrikov et al., 2021) and CQL (Kumar et al., 2020) with the mixed dataset 𝒟tar𝒟src\mathcal{D}_{\text{tar}}\cup\mathcal{D}_{\text{src}}), BOSA (Liu et al., 2024a), DARA (Liu et al., 2022), IGDF (Wen et al., 2024) and OTDF (Lyu et al., 2025).

Results. We run each baseline and DROCO for 1M training steps over 5 random seeds, and report the results with train-time kinematic shifts in Table 1 (the results with morphology shifts are deferred to Appendix E.2). Note that our evaluation is under the clean target environment. Empirical results demonstrate that DROCO achieves superior performance in 9 out of 16 tasks, outperforming all 6 baselines. Furthermore, in terms of the total normalized score, DROCO achieves a remarkable 1105.2, significantly surpassing the second-best method, OTDF (969.8), by 14.0%. We attribute the suboptimal performance of DROCO on the remaining datasets to its trade-off between performance and robustness, whereas other methods only consider performance. However, DROCO still achieves a competitive performance compared to other baselines on these datasets. These results indicate that DROCO exhibits superior train-time robustness against dynamics shifts.

5.2 Evaluation under Dynamics Perturbations

Refer to caption
(a) Kinematic shift
Refer to caption
(b) Morphology shift
Refer to caption
(c) min Q perturbation
Figure 2: Evaluation results under different types and levels of dynamics perturbations.

Experimental Settings. Test-time robustness can be measured by the degree of performance degradation in the face of dynamic perturbations, compared to the clean environment. To examine the test-time robustness of DROCO, we introduce three kinds of dynamics perturbations during evaluation in the target environment: kinematic perturbations, morphology perturbations, min Q perturbations (Yang et al., 2022; 2024b). The first two perturbation types mirror the source domain dynamics shifts, each implemented at three intensity levels following (Lyu et al., 2024b): easy, medium, and hard. The third perturbation type represents an adversarial attack strategy that modifies dynamics by finding the state s¯\bar{s} from Uϵ(s)U_{\epsilon}(s^{\prime}) that minimizes the QQ value, i.e., s¯=argmins¯Uϵ(s)Q(s¯,π(s¯))\bar{s}=\arg\min_{\bar{s}\in U_{\epsilon}(s^{\prime})}Q(\bar{s},\pi(\bar{s})), where ϵ\epsilon is related to the perturbation scale. We consider DROCO to exhibit better test-time robustness if it demonstrates less performance degradation than the baselines under the same shift severity.

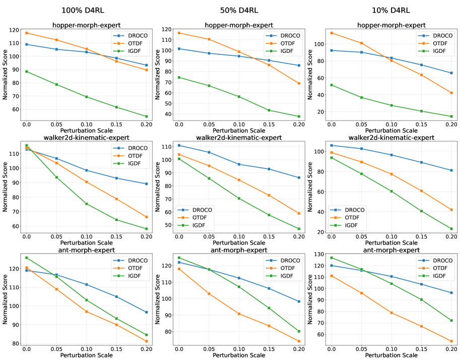
Results. We evaluate our method against two baselines (IGDF and OTDF) under three perturbation types with varying intensity levels. Due to space constraints, we only report results when the source domain dataset is halfcheetah-kinematic-expert, as illustrated in Figure 2. A wider range of evaluation can be found in Appendix E.3.

Our experiments demonstrate that DROCO exhibits superior robustness to dynamic perturbations compared to baseline methods. Specifically, under easy-level kinematic shifts, DROCO shows only a 19.3% performance degradation (from 67.4 to 54.4), whereas both IGDF and OTDF suffer over 50%50\% performance deterioration. We notice that DROCO displays greater sensitivity to morphological perturbations than to kinematic perturbations, with a 42.1%42.1\% performance decrease under easy-level morphological variations. We attribute this to the absence of morphology shifts in the source domain data, rendering the policy less adaptable to this unseen perturbation type. Nevertheless, DROCO still outperforms both baselines: under the same conditions, OTDF and IGDF exhibit performance declines of 62.4%62.4\% and 78.9%78.9\% respectively. Notably, DROCO maintains consistent robustness against min Q perturbations across all scales. At the highest perturbation scale of 0.2, DROCO’s performance decreases by 37.9%, compared to 73.6%73.6\% and 84.0%84.0\% for OTDF and IGDF.

5.3 Parameter Sensitivity

Refer to caption
(a) Effect of β\beta
Refer to caption
(b) Effect of δ\delta
Figure 3: Parameter sensitivity experiments on β\beta and δ\delta.

We examine the sensitivity of DROCO to the introduced hyperparameters. There are two main hyperparameters in DROCO: the penalty coefficient β\beta and the transition threshold δ\delta.

Penalty Coefficient β\beta. The parameter β\beta controls the intensity of value penalty. A larger β\beta leads to a stronger penalty and suppresses value overestimation, and vice versa. We sweep β\beta across {0.1,0.5,1.0,1.2}\{0.1,0.5,1.0,1.2\} and show the experimental results with medium datasets in Figure 3 (a). We observe that different tasks prefer distinct β\beta. For example, setting β=0.1\beta=0.1 achieves the best performance for hopper-kinematic-medium, while walker2d-kinematic-medium prefers β=1.0\beta=1.0.

Transition Threshold δ\delta. The parameter δ\delta determines when the 2\ell_{2} loss turns to 1\ell_{1} loss for Bellman update. A larger δ\delta corresponds to a more lenient transition condition. To test the effect of δ\delta, we select δ\delta among {5,10,30,50}\{5,10,30,50\} and conduct experiments with medium-replay datasets. The results in Figure 3 (b) indicate that a too small δ\delta (e.g., δ=5\delta=5) leads to inferior performance, while setting δ=30\delta=30 achieves a good performance. However, we find the optimal δ\delta varies across different tasks through additional experiments, and more discussions are provided in Appendix E.5.

Remark. Although different values of β\beta and δ\delta are preferred for different tasks (as shown in Appendix E.5), we could still find some patterns across different tasks. We find that setting β1.0\beta\leq 1.0 works for most tasks, implying that value underestimation occurs more often due to the infimum operator. We also find that a larger δ\delta (30 and 50) is preferred for most tasks. We believe it is because the 2\ell_{2} loss is beneficial for training stability. Therefore, for a new task, we could first try β1.0\beta\leq 1.0 and δ=30\delta=30 (or δ=50\delta=50). This could serve as a guideline for finding the best hyperparameter.

6 Related Work

Offline RL. In offline RL, a fixed dataset is provided, and no further interactions are allowed. As a result, conventional off-policy RL algorithms suffer from the extrapolation error due to OOD actions and exhibit poor performance (Kumar et al., 2020; Fujimoto et al., 2019). To address this challenge, various offline RL algorithms have been developed. Common solutions include incorporating policy constraints (Kumar et al., 2019; Fujimoto and Gu, 2021), learning a conservative value function (Kumar et al., 2020; Lyu et al., 2022; Jin et al., 2021; Zhang et al., 2024), leveraging a dynamics model to facilitate policy learning (Yu et al., 2020; 2021; Qiao et al., 2025a; 2024; 2026), performing in-sample learning to avoid querying OOD actions (Kostrikov et al., 2021; Xu et al., 2023; Garg et al., 2023; Zhang et al., 2023), etc. However, these methods require that the offline dataset contains a large amount of data. In contrast, we focus on cross-domain offline RL, which relaxes the target data coverage requirement.

Cross-Domain RL. Cross-domain RL (Niu et al., 2024) faces the challenge of domain mismatch, including observation mismatch (Yang et al., 2023), viewpoints mismatch (Liu et al., 2018; Sadeghi et al., 2018), and dynamics mismatch (Wen et al., 2024; Lyu et al., 2025; Xu et al., 2024; Niu et al., 2022; 2023), etc. In this paper, we exclusively focus on the dynamics mismatch. Previous studies handle this issue by adaptively penalizing QQ value on source domain samples (Niu et al., 2022), capturing dynamics mismatch from a representation learning perspective (Lyu et al., 2024a) and value discrepancy perspective (Xu et al., 2024), modifying the reward function in the source domain (Liu et al., 2022; Eysenbach et al., 2020; Xue et al., 2023; Wang et al., 2024), etc. We focus on the offline setting, where the current works (Liu et al., 2022; 2024a; Wen et al., 2024; Lyu et al., 2025; Wang et al., 2024; Yan et al., 2026) primarily consider the dynamics shifts from the source domain data, while we further consider the dynamics shifts from environmental perturbations.

Robust RL. Robust RL (Iyengar, 2005; Xu and Mannor, 2010) aims to learn a policy resilient to environmental perturbations or data corruption. One line of research in robust RL focuses on train-time robustness against data corruption (Yang et al., 2024b; Zhang et al., 2021; 2022; Ye et al., 2023; Yang et al., 2024a; Xu et al., 2025), while another line addresses test-time robustness against environmental perturbations (Yang et al., 2022; Zhihe and Xu, 2023; Shi and Chi, 2024; Liu et al., 2024c). These works focus only on a single perspective of robustness (train-time or test-time) and the single-domain offline settings. For the cross-domain setting, (He et al., 2025; Liu and Xu, 2024a; Van et al., 2025) study robust cross-domain RL, but they are different from our work, since they still only consider one aspect of robustness and focus on the online setting. In contrast, our work addresses the cross-domain offline setting and jointly considers both train-time and test-time robustness.

7 Conclusion

In this paper, we investigate the dual (train-time and test-time) robustness against dynamics shifts in cross-domain offline RL. We propose a novel RCB operator and theoretically demonstrate its ability of dual robustness. To further handle the potential value estimation error, we add a dynamic value penalty and use Huber loss for Bellman update, yielding our practical DROCO algorithm. Through extensive experiments across various dynamics shift scenarios, we show that DROCO outperforms prior strong baselines and exhibits strong robustness to dynamics perturbations.

8 Acknowledgements

This research was supported in part by the Hong Kong Research Grants Council (GRF 11217925, GRF 16209124) and the National Science Foundation of China (Grant 72371214). The authors would also like to thank the anonymous reviewers for their valuable comments on our manuscript.

References

  • A. F. Agarap (2018) Deep learning using rectified linear units (relu). arXiv preprint arXiv:1803.08375. Cited by: Table 8.
  • B. Eysenbach, S. Asawa, S. Chaudhari, S. Levine, and R. Salakhutdinov (2020) Off-dynamics reinforcement learning: training for transfer with domain classifiers. arXiv preprint arXiv:2006.13916. Cited by: §D.1, §6.
  • J. Fu, A. Kumar, O. Nachum, G. Tucker, and S. Levine (2020) D4rl: datasets for deep data-driven reinforcement learning. arXiv preprint arXiv:2004.07219. Cited by: §C.1, §3, §5.1.
  • S. Fujimoto and S. S. Gu (2021) A minimalist approach to offline reinforcement learning. Advances in neural information processing systems 34, pp. 20132–20145. Cited by: §6.
  • S. Fujimoto, D. Meger, and D. Precup (2019) Off-policy deep reinforcement learning without exploration. In International conference on machine learning, pp. 2052–2062. Cited by: §6.
  • D. Garg, J. Hejna, M. Geist, and S. Ermon (2023) Extreme q-learning: maxent rl without entropy. arXiv preprint arXiv:2301.02328. Cited by: §6.
  • T. Haarnoja, A. Zhou, P. Abbeel, and S. Levine (2018) Soft actor-critic: off-policy maximum entropy deep reinforcement learning with a stochastic actor. In International conference on machine learning, pp. 1861–1870. Cited by: §D.1, §3.
  • Y. He, Z. Liu, W. Wang, and P. Xu (2025) Sample complexity of distributionally robust off-dynamics reinforcement learning with online interaction. In Forty-second International Conference on Machine Learning, Cited by: §6.
  • P. J. Huber (1973) Robust regression: asymptotics, conjectures and monte carlo. The annals of statistics, pp. 799–821. Cited by: §1, §4.3, §4.3.
  • G. N. Iyengar (2005) Robust dynamic programming. Mathematics of Operations Research 30 (2), pp. 257–280. Cited by: Appendix A, §1, §6.
  • M. Janner, J. Fu, M. Zhang, and S. Levine (2019) When to trust your model: model-based policy optimization. Advances in neural information processing systems 32. Cited by: §4.3.
  • K. Jiao, Z. Fang, J. Liu, B. Li, Q. Wang, X. Liu, J. Ruan, Z. Qiao, Y. Zhu, Y. Xu, et al. (2025) TCPO: thought-centric preference optimization for effective embodied decision-making. In Proceedings of the 2025 Conference on Empirical Methods in Natural Language Processing, pp. 9585–9599. Cited by: §1.
  • Y. Jin, Z. Yang, and Z. Wang (2021) Is pessimism provably efficient for offline rl?. In Proceedings of the 38th International Conference on Machine Learning, pp. 5084–5096. Cited by: §6.
  • D. P. Kingma and J. Ba (2014) Adam: a method for stochastic optimization. arXiv preprint arXiv:1412.6980. Cited by: Table 8.
  • D. P. Kingma, M. Welling, et al. (2013) Auto-encoding variational bayes. Banff, Canada. Cited by: §D.1.
  • L. Kong, H. Wang, T. Wang, G. Xiong, and M. Tambe (2025) Composite flow matching for reinforcement learning with shifted-dynamics data. arXiv preprint arXiv:2505.23062. Cited by: Appendix A.
  • I. Kostrikov, A. Nair, and S. Levine (2021) Offline reinforcement learning with implicit q-learning. arXiv preprint arXiv:2110.06169. Cited by: §D.1, §D.2, §4.1, §4.3, §5.1, §6.
  • Y. Kuang, M. Lu, J. Wang, Q. Zhou, B. Li, and H. Li (2022) Learning robust policy against disturbance in transition dynamics via state-conservative policy optimization. In Proceedings of the AAAI Conference on Artificial Intelligence, Vol. 36, pp. 7247–7254. Cited by: §1.
  • A. Kumar, J. Fu, M. Soh, G. Tucker, and S. Levine (2019) Stabilizing off-policy q-learning via bootstrapping error reduction. Advances in neural information processing systems 32. Cited by: §6.
  • A. Kumar, A. Zhou, G. Tucker, and S. Levine (2020) Conservative q-learning for offline reinforcement learning. Advances in neural information processing systems 33, pp. 1179–1191. Cited by: §D.1, §5.1, §6.
  • S. Levine, A. Kumar, G. Tucker, and J. Fu (2020) Offline reinforcement learning: tutorial, review, and perspectives on open problems. arXiv preprint arXiv:2005.01643. Cited by: §1.
  • A. Li, D. Misra, A. Kolobov, and C. Cheng (2023) Survival instinct in offline reinforcement learning. Advances in neural information processing systems 36, pp. 62062–62120. Cited by: §E.6.
  • J. Liu, H. Zhang, and D. Wang (2022) Dara: dynamics-aware reward augmentation in offline reinforcement learning. arXiv preprint arXiv:2203.06662. Cited by: §D.1, §1, §1, §5.1, §6.
  • J. Liu, Z. Zhang, Z. Wei, Z. Zhuang, Y. Kang, S. Gai, and D. Wang (2024a) Beyond ood state actions: supported cross-domain offline reinforcement learning. In Proceedings of the AAAI Conference on Artificial Intelligence, Vol. 38, pp. 13945–13953. Cited by: §D.1, §1, §4.2, §5.1, §6.
  • T. Liu, Y. Li, Y. Lan, H. Gao, W. Pan, and X. Xu (2024b) Adaptive advantage-guided policy regularization for offline reinforcement learning. In International Conference on Machine Learning, pp. 31406–31424. Cited by: §4.2.
  • X. Liu, X. Zhou, G. Li, H. Li, M. Gui, T. Xiang, D. Huang, and Z. Hou (2024c) MICRO: model-based offline reinforcement learning with a conservative bellman operator. In Proceedings of the Thirty-Third International Joint Conference on Artificial Intelligence, pp. 4587–4595. Cited by: §4.3, §4.3, §4, §6.
  • Y. Liu, A. Gupta, P. Abbeel, and S. Levine (2018) Imitation from observation: learning to imitate behaviors from raw video via context translation. In 2018 IEEE international conference on robotics and automation (ICRA), pp. 1118–1125. Cited by: §6.
  • Z. Liu and P. Xu (2024a) Distributionally robust off-dynamics reinforcement learning: provable efficiency with linear function approximation. In International Conference on Artificial Intelligence and Statistics, pp. 2719–2727. Cited by: §6.
  • Z. Liu and P. Xu (2024b) Minimax optimal and computationally efficient algorithms for distributionally robust offline reinforcement learning. Advances in Neural Information Processing Systems 37, pp. 86602–86654. Cited by: Appendix A.
  • J. Lyu, C. Bai, J. Yang, Z. Lu, and X. Li (2024a) Cross-domain policy adaptation by capturing representation mismatch. In International Conference on Machine Learning, pp. 33638–33663. Cited by: §6.
  • J. Lyu, X. Ma, X. Li, and Z. Lu (2022) Mildly conservative q-learning for offline reinforcement learning. Advances in Neural Information Processing Systems 35, pp. 1711–1724. Cited by: §B.6, §6.
  • J. Lyu, K. Xu, J. Xu, M. Yan, J. Yang, Z. Zhang, C. Bai, Z. Lu, and X. Li (2024b) ODRL: a benchmark for off-dynamics reinforcement learning. In The Thirty-eight Conference on Neural Information Processing Systems Datasets and Benchmarks Track, External Links: Link Cited by: Appendix A, Appendix A, §D.1, §E.1, §3, §5.2.
  • J. Lyu, M. Yan, Z. Qiao, R. Liu, X. Ma, D. Ye, J. Yang, Z. Lu, and X. Li (2025) Cross-domain offline policy adaptation with optimal transport and dataset constraint. In The Thirteenth International Conference on Learning Representations, Cited by: Appendix A, §D.1, §1, §1, §2, §4.3, §5.1, §5.1, §6.
  • Y. Mao, Q. Wang, Y. Qu, Y. Jiang, and X. Ji (2024) Doubly mild generalization for offline reinforcement learning. arXiv preprint arXiv:2411.07934. Cited by: §4.2.
  • H. Niu, J. Hu, G. Zhou, and X. Zhan (2024) A comprehensive survey of cross-domain policy transfer for embodied agents. arXiv preprint arXiv:2402.04580. Cited by: §6.
  • H. Niu, T. Ji, B. Liu, H. Zhao, X. Zhu, J. Zheng, P. Huang, G. Zhou, J. Hu, and X. Zhan (2023) H2O+: an improved framework for hybrid offline-and-online rl with dynamics gaps. arXiv preprint arXiv:2309.12716. Cited by: §6.
  • H. Niu, Y. Qiu, M. Li, G. Zhou, J. Hu, X. Zhan, et al. (2022) When to trust your simulator: dynamics-aware hybrid offline-and-online reinforcement learning. Advances in Neural Information Processing Systems 35, pp. 36599–36612. Cited by: §4.2, §6.
  • L. Ouyang, J. Wu, X. Jiang, D. Almeida, C. Wainwright, P. Mishkin, C. Zhang, S. Agarwal, K. Slama, A. Ray, et al. (2022) Training language models to follow instructions with human feedback. Advances in neural information processing systems 35, pp. 27730–27744. Cited by: §1.
  • [39] K. Pan, M. Chen, X. Liu, and P. Hsieh Survive on planet pandora: robust cross-domain rl under distinct state-action representations. In ICML 2024 Workshop: Aligning Reinforcement Learning Experimentalists and Theorists, Cited by: Appendix A.
  • G. Peyré, M. Cuturi, et al. (2019) Computational optimal transport: with applications to data science. Foundations and Trends® in Machine Learning 11 (5-6), pp. 355–607. Cited by: §D.1.
  • M. L. Puterman (1990) Markov decision processes. Handbooks in operations research and management science 2, pp. 331–434. Cited by: §2.
  • Z. Qiao, J. Lyu, K. Jiao, Q. Liu, and X. Li (2025a) Sumo: search-based uncertainty estimation for model-based offline reinforcement learning. In Proceedings of the AAAI Conference on Artificial Intelligence, Vol. 39, pp. 20033–20041. Cited by: §4.3, §6.
  • Z. Qiao, J. Lyu, and X. Li (2024) Mind the model, not the agent: the primacy bias in model-based rl. In ECAI 2024, pp. 1824–1831. Cited by: §6.
  • Z. Qiao, J. Lyu, B. Lyu, Y. Shu, S. Gao, and S. Qiu (2026) Model-based offline rl via robust value-aware model learning with implicitly differentiable adaptive weighting. In The Fourteenth International Conference on Learning Representations, Cited by: §6.
  • Z. Qiao, R. Yang, J. Lyu, C. Bai, X. Li, Z. Yang, S. Gao, and S. Qiu (2025b) Cross-domain offline policy adaptation with dynamics-and value-aligned data filtering. arXiv preprint arXiv:2512.02435. Cited by: §2.
  • R. Rafailov, A. Sharma, E. Mitchell, C. D. Manning, S. Ermon, and C. Finn (2023) Direct preference optimization: your language model is secretly a reward model. Advances in Neural Information Processing Systems 36, pp. 53728–53741. Cited by: §1.
  • Y. Ran, Y. Li, F. Zhang, Z. Zhang, and Y. Yu (2023) Policy regularization with dataset constraint for offline reinforcement learning. In International Conference on Machine Learning, pp. 28701–28717. Cited by: §4.2.
  • A. Roy, K. Balasubramanian, and M. A. Erdogdu (2021) On empirical risk minimization with dependent and heavy-tailed data. Advances in Neural Information Processing Systems 34, pp. 8913–8926. Cited by: §4.3.
  • F. Sadeghi, A. Toshev, E. Jang, and S. Levine (2018) Sim2real viewpoint invariant visual servoing by recurrent control. In Proceedings of the IEEE Conference on Computer Vision and Pattern Recognition, pp. 4691–4699. Cited by: §6.
  • L. Shi and Y. Chi (2024) Distributionally robust model-based offline reinforcement learning with near-optimal sample complexity. Journal of Machine Learning Research 25 (200), pp. 1–91. Cited by: §6.
  • Y. Sun, J. Zhang, C. Jia, H. Lin, J. Ye, and Y. Yu (2023) Model-bellman inconsistency for model-based offline reinforcement learning. In International Conference on Machine Learning, pp. 33177–33194. Cited by: §4.3.
  • R. S. Sutton and A. G. Barto (1999) Reinforcement learning: an introduction. Robotica 17 (2), pp. 229–235. Cited by: §1.
  • E. Todorov, T. Erez, and Y. Tassa (2012) Mujoco: a physics engine for model-based control. In 2012 IEEE/RSJ international conference on intelligent robots and systems, pp. 5026–5033. Cited by: §C.1, §3, §5.1.
  • L. L. P. Van, M. H. Nguyen, H. Le, H. T. Tran, and S. Gupta (2025) Hybrid cross-domain robust reinforcement learning. In Joint European Conference on Machine Learning and Knowledge Discovery in Databases, pp. 112–128. Cited by: §6.
  • C. Villani et al. (2008) Optimal transport: old and new. Vol. 338, Springer. Cited by: §2.
  • R. Wang, Y. Yang, Z. Liu, D. Zhou, and P. Xu (2024) Return augmented decision transformer for off-dynamics reinforcement learning. arXiv preprint arXiv:2410.23450. Cited by: §6.
  • X. Wen, C. Bai, K. Xu, X. Yu, Y. Zhang, X. Li, and Z. Wang (2024) Contrastive representation for data filtering in cross-domain offline reinforcement learning. arXiv preprint arXiv:2405.06192. Cited by: Appendix A, §D.1, §1, §1, §2, §3, §4.1, §4.3, §5.1, §5.1, §6.
  • H. Xiong, T. Xu, L. Zhao, Y. Liang, and W. Zhang (2022) Deterministic policy gradient: convergence analysis. In Uncertainty in Artificial Intelligence, pp. 2159–2169. Cited by: §4.2.
  • H. Xu, L. Jiang, J. Li, Z. Yang, Z. Wang, V. W. K. Chan, and X. Zhan (2023) Offline rl with no ood actions: in-sample learning via implicit value regularization. arXiv preprint arXiv:2303.15810. Cited by: §4.1, §6.
  • H. Xu and S. Mannor (2010) Distributionally robust markov decision processes. Advances in Neural Information Processing Systems 23. Cited by: §6.
  • J. Xu, R. Yang, S. Qiu, F. Luo, M. Fang, B. Wang, and L. Han (2025) Tackling data corruption in offline reinforcement learning via sequence modeling. In The Thirteenth International Conference on Learning Representations, Cited by: §6.
  • K. Xu, C. Bai, X. Ma, D. Wang, B. Zhao, Z. Wang, X. Li, and W. Li (2024) Cross-domain policy adaptation via value-guided data filtering. Advances in Neural Information Processing Systems 36. Cited by: Appendix A, §4.3, §6.
  • Z. Xue, Q. Cai, S. Liu, D. Zheng, P. Jiang, K. Gai, and B. An (2023) State regularized policy optimization on data with dynamics shift. Advances in neural information processing systems 36, pp. 32926–32937. Cited by: §6.
  • M. Yan, J. Lyu, S. Sun, Z. Qiao, J. Yang, Z. Lin, D. Ye, and X. Li (2026) Cross-domain offline policy adaptation via selective transition correction. arXiv preprint arXiv:2602.05776. Cited by: §6.
  • R. Yang, C. Bai, X. Ma, Z. Wang, C. Zhang, and L. Han (2022) Rorl: robust offline reinforcement learning via conservative smoothing. Advances in neural information processing systems 35, pp. 23851–23866. Cited by: §5.2, §6.
  • R. Yang, J. Wang, G. Wu, and B. Li (2024a) Uncertainty-based offline variational bayesian reinforcement learning for robustness under diverse data corruptions. arXiv preprint arXiv:2411.00465. Cited by: §6.
  • R. Yang, L. Yong, X. Ma, H. Hu, C. Zhang, and T. Zhang (2023) What is essential for unseen goal generalization of offline goal-conditioned rl?. In International Conference on Machine Learning, pp. 39543–39571. Cited by: §6.
  • R. Yang, H. Zhong, J. Xu, A. Zhang, C. Zhang, L. Han, and T. Zhang (2024b) Towards robust offline reinforcement learning under diverse data corruption. In The Twelfth International Conference on Learning Representations, Cited by: §E.6, §4.3, §5.2, §6.
  • C. Ye, R. Yang, Q. Gu, and T. Zhang (2023) Corruption-robust offline reinforcement learning with general function approximation. Advances in Neural Information Processing Systems 36, pp. 36208–36221. Cited by: §6.
  • H. You, T. Yang, Y. Zheng, J. Hao, E. Taylor, et al. (2022) Cross-domain adaptive transfer reinforcement learning based on state-action correspondence. In Uncertainty in Artificial Intelligence, pp. 2299–2309. Cited by: Appendix A.
  • T. Yu, A. Kumar, R. Rafailov, A. Rajeswaran, S. Levine, and C. Finn (2021) Combo: conservative offline model-based policy optimization. Advances in neural information processing systems 34, pp. 28954–28967. Cited by: §6.
  • T. Yu, G. Thomas, L. Yu, S. Ermon, J. Y. Zou, S. Levine, C. Finn, and T. Ma (2020) Mopo: model-based offline policy optimization. Advances in Neural Information Processing Systems 33, pp. 14129–14142. Cited by: §4.3, §4.3, §6.
  • K. Zakka, P. Wu, L. Smith, N. Gileadi, T. Howell, X. B. Peng, S. Singh, Y. Tassa, P. Florence, A. Zeng, et al. (2023) Robopianist: dexterous piano playing with deep reinforcement learning. arXiv preprint arXiv:2304.04150. Cited by: §1.
  • D. Zhang, B. Lyu, S. Qiu, mladen kolar, and T. Zhang (2024) Pessimism meets risk: risk-sensitive offline reinforcement learning. In Forty-first International Conference on Machine Learning, Cited by: §6.
  • H. Zhang, Y. Mao, B. Wang, S. He, Y. Xu, and X. Ji (2023) In-sample actor critic for offline reinforcement learning. In The Eleventh International Conference on Learning Representations, Cited by: §6.
  • Q. Zhang, T. Xiao, A. A. Efros, L. Pinto, and X. Wang (2020) Learning cross-domain correspondence for control with dynamics cycle-consistency. arXiv preprint arXiv:2012.09811. Cited by: Appendix A.
  • X. Zhang, Y. Chen, X. Zhu, and W. Sun (2021) Robust policy gradient against strong data corruption. In International Conference on Machine Learning, pp. 12391–12401. Cited by: §6.
  • X. Zhang, Y. Chen, X. Zhu, and W. Sun (2022) Corruption-robust offline reinforcement learning. In International Conference on Artificial Intelligence and Statistics, pp. 5757–5773. Cited by: §6.
  • Y. Zhihe and Y. Xu (2023) DMBP: diffusion model-based predictor for robust offline reinforcement learning against state observation perturbations. In The Twelfth International Conference on Learning Representations, Cited by: §6.

Appendix A More Discussions of DROCO

In this section, we provide further clarifications on several questions regarding DROCO that readers might be concerned about.

1. Why not test DROCO on more tasks such as Antmaze and Adroit?

In our experiments, we evaluate our method DROCO and other baselines on MuJoCo-based tasks (e.g., halfcheetah-v2 and hopper-v2). This experimental setting is standard and has been adopted by recent works such as VGDF (Xu et al., 2024), IGDF (Wen et al., 2024), OTDF (Lyu et al., 2025), and CompFlow (Kong et al., 2025). By following these established settings, we believe our experiments are sufficient for evaluating DROCO’s effectiveness.

On the other hand, existing literature (Lyu et al., 2024b) indicates that Antmaze tasks with varying map structures are highly challenging for cross-domain RL (Observation 3, p.7), as adapting policies across structural barriers remains difficult. Similarly, cross-domain RL methods often fail on dexterous hand manipulation tasks (Adroit) with kinematic or morphology shifts (Observation 4, p.8). Empirically, we find that not only DROCO but all baseline methods (e.g., BOSA, DARA, IGDF, OTDF) struggle to achieve meaningful performance on Antmaze and Adroit tasks.

We emphasize that enabling cross-domain RL to succeed in such challenging settings (Antmaze and Adroit) remains an open problem (p.17 in (Lyu et al., 2024b)) and falls beyond the scope of this work. We believe that MuJoCo tasks with dynamics shift provide a sufficient and appropriate testbed for evaluating our method.

2. Can DROCO be extended into settings where the source and target domains have distinct state-action representations?

The answer is yes. Although this work follows the setting of recent studies (e.g., BOSA, DARA, IGDF, OTDF) and assumes identical state and action spaces across source and target domains, DROCO can be generalized to domains with distinct state-action representations. This can be achieved by incorporating techniques such as inter-domain mapping via dynamics cycle consistency (Zhang et al., 2020). Other mapping methods (You et al., 2022; Pan et al., ) are also compatible with our framework and could be seamlessly integrated. Thus, DROCO remains applicable even under varying state-action spaces.

3. Why is the Wasserstein uncertainty set chosen instead of other uncertainty sets?

Although there are other possible choices of uncertainty set like the (s,a)(s,a)-rectangularity (Iyengar, 2005) and dd-rectangularity (Liu and Xu, 2024b), their dual reformulations often result in complex constraints or regularizations and are typically limited to simple linear MDP settings. In contrast, the Wasserstein uncertainty set admits an elegant closed-form dual reformulation (Proposition 4.2), which allows converting dynamics perturbations into a simple state uncertainty set—a property critical for practical implementation. Moreover, the Wasserstein metric inherently couples state transitions, enabling a natural mapping to state perturbations and providing geometric interpretability.

4. Why not apply the RCB operator on target domain data to improve test-time robustness?

On the one hand, Propositions 4.4 and 4.5 show that dual robustness is guaranteed as long as supp(Ptar(|s,a))Uϵ(ssrc)\operatorname{supp}(P_{\mathrm{tar}}(\cdot|s,a))\subseteq U_{\epsilon}(s^{\prime}_{\mathrm{src}}) holds—even when the RCB operator is applied only to source domain data. Even when this condition is not fully satisfied, our techniques (dynamic value penalty and Huber loss) still enhance robustness. Therefore, applying the RCB operator to target domain data is unnecessary.

On the other hand, target domain data is important for achieving high performance in the clean target environment. Applying the RCB operator to it would introduce conservatism and compromise performance. Moreover, since the target data is scarce, any improvement in test-time robustness from using them would be limited. Thus, the optimal strategy is to apply the standard Bellman operator to target data to improve performance, and the RCB operator to source data to enhance robustness.

5. Is there a trade-off between train-time and test-time robustness?

There is a trade-off between train-time and test-time robustness, and it is controlled by ϵ\epsilon. Specifically, when supp(Ptar(|s,a))Uϵ(ssrc)\operatorname{supp}(P_{\mathrm{tar}}(\cdot|s,a))\subseteq U_{\epsilon}(s^{\prime}_{\mathrm{src}}) is satisfied, further increasing ϵ\epsilon might bring excessive conservatism. While this enhances test-time robustness against dynamics shifts (since cc is monotonically increasing with respect to ϵ\epsilon), it sacrifices performance on the clean target domain, thereby reducing train-time robustness.

Appendix B Proofs of Propositions

B.1 Proof of Proposition 4.1

Proof.

We recall the definition of the RCB operator below:

𝒯RCBQ(s,a)={r+γ𝔼sP[maxaμ^(|s)Q(s,a)],if=tarr+γinfϵ𝔼sP[maxaμ^(|s)Q(s,a)],if=src.\mathcal{T}_{\text{RCB}}Q(s,a)=\begin{cases}r+\gamma\mathbb{E}_{s^{\prime}\sim P_{\mathcal{M}}}\left[\max\limits_{a^{\prime}\sim\hat{\mu}(\cdot|s^{\prime})}Q(s^{\prime},a^{\prime})\right],\qquad\qquad\qquad\,\,\mathrm{if}\ \mathcal{M}=\mathcal{M}_{\text{tar}}\\ r+\gamma\inf_{\mathcal{M}\in\mathcal{M}_{\epsilon}}\mathbb{E}_{s^{\prime}\sim P_{\mathcal{M}}}\left[\max\limits_{a^{\prime}\sim\hat{\mu}(\cdot|s^{\prime})}Q(s^{\prime},a^{\prime})\right],\qquad\mathrm{if}\ \mathcal{M}=\mathcal{M}_{\text{src}}\end{cases}.

Let Q1Q_{1} and Q2Q_{2} be two arbitrary QQ functions. Then for any state-action pair (s,a)(s,a), if the next state sPtar(|s,a)s^{\prime}\sim P_{\text{tar}}(\cdot|s,a), we have

𝒯RCBQ1𝒯RCBQ2\displaystyle\left\|\mathcal{T}_{\text{RCB}}Q_{1}-\mathcal{T}_{\text{RCB}}Q_{2}\right\|_{\infty} =γmaxs,a|𝔼s[maxaμ^(|s)Q1(s,a)maxaμ^(|s)Q2(s,a)]|\displaystyle=\gamma\max_{s,a}\left|\mathbb{E}_{s^{\prime}}\left[\max\limits_{a^{\prime}\sim\hat{\mu}(\cdot|s^{\prime})}Q_{1}(s^{\prime},a^{\prime})-\max\limits_{a^{\prime}\sim\hat{\mu}(\cdot|s^{\prime})}Q_{2}(s^{\prime},a^{\prime})\right]\right|
γmaxs,a𝔼s|maxaμ^(|s)Q1(s,a)maxaμ^(|s)Q2(s,a)|\displaystyle\leq\gamma\max_{s,a}\mathbb{E}_{s^{\prime}}\left|\max\limits_{a^{\prime}\sim\hat{\mu}(\cdot|s^{\prime})}Q_{1}(s^{\prime},a^{\prime})-\max\limits_{a^{\prime}\sim\hat{\mu}(\cdot|s^{\prime})}Q_{2}(s^{\prime},a^{\prime})\right|
γmaxs,aQ1Q2\displaystyle\leq\gamma\max_{s,a}\left\|Q_{1}-Q_{2}\right\|_{\infty}
=γQ1Q2,\displaystyle=\gamma\left\|Q_{1}-Q_{2}\right\|_{\infty},

where the second inequality holds from the fact that for any function f1f_{1}, f2f_{2}, any variant x𝒳x\sim\mathcal{X},

|maxx𝒳f1(x)maxx𝒳f2(x)|maxx𝒳|f1(x)f2(x)|.\left|\max\limits_{x\sim\mathcal{X}}f_{1}(x)-\max\limits_{x\sim\mathcal{X}}f_{2}(x)\right|\leq\max\limits_{x\sim\mathcal{X}}\left|f_{1}(x)-f_{2}(x)\right|. (10)

If the next state sPsrc(|s,a)s^{\prime}\sim P_{\text{src}}(\cdot|s,a), we have

𝒯RCBQ1𝒯RCBQ2\displaystyle\left\|\mathcal{T}_{\text{RCB}}Q_{1}-\mathcal{T}_{\text{RCB}}Q_{2}\right\|_{\infty}
=γmaxs,a|infϵ𝔼s[maxaμ^(|s)Q1(s,a)]infϵ𝔼s[maxaμ^(|s)Q2(s,a)]|\displaystyle\qquad=\gamma\max_{s,a}\left|\inf\limits_{\mathcal{M}\in\mathcal{M}_{\epsilon}}\mathbb{E}_{s^{\prime}}\left[\max\limits_{a^{\prime}\sim\hat{\mu}(\cdot|s^{\prime})}Q_{1}(s^{\prime},a^{\prime})\right]-\inf\limits_{\mathcal{M}\in\mathcal{M}_{\epsilon}}\mathbb{E}_{s^{\prime}}\left[\max\limits_{a^{\prime}\sim\hat{\mu}(\cdot|s^{\prime})}Q_{2}(s^{\prime},a^{\prime})\right]\right|
γmaxs,a,s|maxaμ^(|s)Q1(s,a)maxaμ^(|s)Q2(s,a)|\displaystyle\qquad\leq\gamma\max_{s,a,s^{\prime}}\left|\max\limits_{a^{\prime}\sim\hat{\mu}(\cdot|s^{\prime})}Q_{1}(s^{\prime},a^{\prime})-\max\limits_{a^{\prime}\sim\hat{\mu}(\cdot|s^{\prime})}Q_{2}(s^{\prime},a^{\prime})\right|
γmaxs,aQ1Q2\displaystyle\qquad\leq\gamma\max_{s,a}\left\|Q_{1}-Q_{2}\right\|_{\infty}
=γQ1Q2,\displaystyle\qquad=\gamma\left\|Q_{1}-Q_{2}\right\|_{\infty},

where the first inequality comes from the fact that for any function f1f_{1}, f2f_{2}, any variant x𝒳x\sim\mathcal{X},

|minx𝒳f1(x)minx𝒳f2(x)|maxx𝒳|f1(x)f2(x)|.\left|\min\limits_{x\sim\mathcal{X}}f_{1}(x)-\min\limits_{x\sim\mathcal{X}}f_{2}(x)\right|\leq\max\limits_{x\sim\mathcal{X}}\left|f_{1}(x)-f_{2}(x)\right|. (11)

Combining the results, we conclude that the RCB operator is a γ\gamma-contraction operator in the complete state-action space, which naturally leads to the conclusion that any initial QQ function would converge to a unique fixed point by repeatedly applying 𝒯RCB\mathcal{T}_{\text{RCB}}. This completes the proof. ∎

B.2 Proof of Proposition 4.2

We first introduce the following lemma before proving Proposition 4.2.

Lemma B.1.

Let 𝒮\mathcal{S} be a measure space and PP be a probability measure on 𝒮\mathcal{S}. We further let f:𝒮f:\mathcal{S}\rightarrow\mathbb{R} be any measure function and c:𝒮×𝒮0c:\mathcal{S}\times\mathcal{S}\rightarrow\mathbb{R}_{\geq 0} be a cost function. Then for any scalar λ0\lambda\geq 0, the following equality holds

infP^𝒫(𝒮)(𝔼s^P^[f(s^)]+λ𝒲(P^,P))=𝔼sP[infs^𝒮(f(s^)+λc(s,s^))],\inf_{\hat{P}\sim\mathcal{P}(\mathcal{S})}\left(\mathbb{E}_{\hat{s}\sim\hat{P}}[f(\hat{s})]+\lambda\mathcal{W}(\hat{P},P)\right)=\mathbb{E}_{s\sim P}\left[\inf_{\hat{s}\sim\mathcal{S}}\left(f(\hat{s})+\lambda c(s,\hat{s})\right)\right], (12)

where 𝒫(𝒮)\mathcal{P}(\mathcal{S}) represents all probability measures on 𝒮\mathcal{S}, and 𝒲\mathcal{W} is the Wasserstein distance w.r.t. the cost function cc.

Proof.

We prove this lemma by showing the left-hand-side (LHS) of Equation 12 is equivalent to its right-hand-side (RHS).

According to the definition of Wasserstein distance, the LHS could be written as

LHS=infP^𝒫(𝒮)(𝔼s^P^[f(s^)]+λinfγΓ(P,P^)𝔼(s,s^)γ[c(s,s^)]).\mathrm{LHS}=\inf_{\hat{P}\in\mathcal{P}(\mathcal{S})}\left(\mathbb{E}_{\hat{s}\sim\hat{P}}[f(\hat{s})]+\lambda\inf_{\gamma\in\Gamma(P,\hat{P})}\mathbb{E}_{(s,\hat{s})\sim\gamma}[c(s,\hat{s})]\right).

The optimization of P^\hat{P} and the inner optimization over γΓ(P,P^)\gamma\in\Gamma(P,\hat{P}) could be combined into a single optimization over all couplings γ\gamma whose first marginal is PP, and the second marginal, P^\hat{P}, could be arbitrary in 𝒫(𝒮)\mathcal{P}(\mathcal{S}). We then have

LHS\displaystyle\mathrm{LHS} =infγΓ(P,P^)(𝔼s^P^[f(s^)]+λ𝔼(s,s^)γ[c(s,s^)])\displaystyle=\inf_{\gamma\in\Gamma(P,\hat{P})}\left(\mathbb{E}_{\hat{s}\sim\hat{P}}[f(\hat{s})]+\lambda\mathbb{E}_{(s,\hat{s})\sim\gamma}[c(s,\hat{s})]\right) (13)
=infγΓ(P,P^)𝔼(s,s^)γ[f(s^)+λc(s,s^)],\displaystyle=\inf_{\gamma\in\Gamma(P,\hat{P})}\mathbb{E}_{(s,\hat{s})\sim\gamma}\left[f(\hat{s})+\lambda c(s,\hat{s})\right],

where the second equality holds by the linearity of expectation.

By the disintegration theorem for measures, any coupling γΓ(P,P^)\gamma\in\Gamma(P,\hat{P}) could be represented as the product of its first marginal PP and a stochastic kernel K(ds^|s):𝒮𝒫(𝒮)K(d\hat{s}|s):\mathcal{S}\rightarrow\mathcal{P}(\mathcal{S}) such that

γ(ds,ds^)=K(ds^|s)P(ds).\gamma(ds,d\hat{s})=K(d\hat{s}|s)P(ds). (14)

This implies that optimizing over all couplings γΓ(P,P^)\gamma\in\Gamma(P,\hat{P}) is equivalent to optimizing over all possible stochastic kernels KK. We substitute Equation 14 into Equation 13 to obtain

LHS\displaystyle\mathrm{LHS} =infK𝒮𝒮[f(s^)+λc(s,s^)]K(ds^|s)P(ds)\displaystyle=\inf_{K}\int_{\mathcal{S}}\int_{\mathcal{S}}\left[f(\hat{s})+\lambda c(s,\hat{s})\right]K(d\hat{s}|s)P(ds)
=infK𝔼sP[𝔼s^K(|s)[f(s^)+λc(s,s^)]].\displaystyle=\inf_{K}\mathbb{E}_{s\sim P}\left[\mathbb{E}_{\hat{s}\sim K(\cdot|s)}\left[f(\hat{s})+\lambda c(s,\hat{s})\right]\right].

We change the position of the infimum operator and the inner expectation to get

LHS=𝔼sP[infK(|s)𝒫(𝒮)𝔼s^K(|s)[f(s^)+γc(s,s^)]].\mathrm{LHS}=\mathbb{E}_{s\sim P}\left[\inf_{K(\cdot|s)\in\mathcal{P}(\mathcal{S})}\mathbb{E}_{\hat{s}\sim K(\cdot|s)}\left[f(\hat{s})+\gamma c(s,\hat{s})\right]\right]. (15)

We then solve the inner minimization problem for a fixed s𝒮s\in\mathcal{S}:

infK(|s)𝒫(𝒮)𝔼s^K(|s)[f(s^)+γc(s,s^)].\inf_{K(\cdot|s)\in\mathcal{P}(\mathcal{S})}\mathbb{E}_{\hat{s}\sim K(\cdot|s)}\left[f(\hat{s})+\gamma c(s,\hat{s})\right].

Let gs(s^)f(s^)+γc(s,s^)g_{s}(\hat{s})\triangleq f(\hat{s})+\gamma c(s,\hat{s}). The problem is to find a probability measure K(|s)K(\cdot|s) that minimizes the expectation of gs(s^)g_{s}(\hat{s}). It is obvious that this minimum is achieved by concentrating the entire probability mass on point s^\hat{s} where gs(s^)g_{s}(\hat{s}) attains its infimum.

Let s^=arginfs^𝒮gs(s^)\hat{s}^{\star}=\arg\inf_{\hat{s}\in\mathcal{S}}g_{s}(\hat{s}). The optimal measure is a Dirac measure δs^\delta_{\hat{s}^{\star}} centered on s^\hat{s}^{\star}. Therefore, we have

infK(|s)𝒫(𝒮)𝔼s^K(|s)[f(s^)+γc(s,s^)]\displaystyle\inf_{K(\cdot|s)\in\mathcal{P}(\mathcal{S})}\mathbb{E}_{\hat{s}\sim K(\cdot|s)}\left[f(\hat{s})+\gamma c(s,\hat{s})\right] (16)
=𝔼s^δs^[gs(s^)]\displaystyle=\mathbb{E}_{\hat{s}\sim\delta_{\hat{s}^{\star}}}[g_{s}(\hat{s})]
=f(s^)+γc(s,s^)\displaystyle=f(\hat{s}^{\star})+\gamma c(s,\hat{s}^{\star})
=infs^𝒮[f(s^)+γc(s,s^)].\displaystyle=\inf_{\hat{s}\in\mathcal{S}}\left[f(\hat{s})+\gamma c(s,\hat{s})\right].

Finally, substituting Equation 16 back into Equation 15, we obtain the RHS of the lemma as

LHS\displaystyle\mathrm{LHS} =𝔼sP[infs^𝒮(f(s^)+γc(s,s^))]\displaystyle=\mathbb{E}_{s\sim P}\left[\inf_{\hat{s}\in\mathcal{S}}\left(f(\hat{s})+\gamma c(s,\hat{s})\right)\right]
=RHS.\displaystyle=\mathrm{RHS}.

This concludes the proof. ∎

Now we give our formal proof for Proposition 4.2. We restate it as follows.

Proposition B.1 (Proposition 4.2).

Letting ϵ\mathcal{M}_{\epsilon} be the Wasserstein uncertainty set defined by Equation 1, then the term inf^ϵ𝔼sP^[maxaμ^(|s)Q(s,a)]\inf_{\widehat{\mathcal{M}}\in\mathcal{M}_{\epsilon}}\mathbb{E}_{s^{\prime}\sim P_{\widehat{\mathcal{M}}}}\big[\max_{a^{\prime}\sim\hat{\mu}(\cdot|s^{\prime})}Q(s^{\prime},a^{\prime})\big] in Equation 2 is equivalent to

𝔼sP[infs¯maxaμ^(|s¯)Q(s¯,a)],s.t.d(s,s¯)ϵ.\mathbb{E}_{s^{\prime}\sim P_{\mathcal{M}}}\bigg[\inf_{\bar{s}}\max\limits_{a^{\prime}\sim\hat{\mu}(\cdot|\bar{s})}Q(\bar{s},a^{\prime})\bigg],\quad s.t.\quad d(s^{\prime},\bar{s})\leq\epsilon. (17)
Proof.

The original term (OT) is a constrained optimization problem that can be solved by the Lagrange multiplier method. Let V^(s)=maxaμ^(|s)Q(s,a)\widehat{V}(s)=\max_{a\sim\hat{\mu}(\cdot|s)}Q(s,a). Then we define the Lagrange function as

(^,λ)=𝔼s^^(|s,a)V^(s^)+λ(𝒲(^,)ϵ).\mathcal{L}(\widehat{\mathcal{M}},\lambda)=\mathbb{E}_{\hat{s}^{\prime}\sim\widehat{\mathcal{M}}(\cdot|s,a)}\widehat{V}(\hat{s}^{\prime})+\lambda\left(\mathcal{W}(\widehat{\mathcal{M}},\mathcal{M})-\epsilon\right).

The LHS is equivalent to solving the dual problem:

OT=supλ0inf^(^,λ).\mathrm{OT}=\sup_{\lambda\geq 0}\inf_{\widehat{\mathcal{M}}}\mathcal{L}(\widehat{\mathcal{M}},\lambda). (18)

For a fixed λ\lambda, we solve the inner minimization problem infM^(M^,λ)\inf_{\widehat{M}}\mathcal{L}(\widehat{M},\lambda):

inf^(^,λ)=inf^(𝔼s^^(|s,a)V^(s^)+λ𝒲(^,))λϵ.\inf_{\widehat{\mathcal{M}}}\mathcal{L}(\widehat{\mathcal{M}},\lambda)=\inf_{\widehat{\mathcal{M}}}\left(\mathbb{E}_{\hat{s}^{\prime}\sim\widehat{\mathcal{M}}(\cdot|s,a)}\widehat{V}(\hat{s}^{\prime})+\lambda\mathcal{W}(\widehat{\mathcal{M}},\mathcal{M})\right)-\lambda\epsilon. (19)

According to Lemma B.1, we have

inf^(𝔼s^^(|s,a)V^(s^)+λ𝒲(^,))=𝔼s(|s,a)[infs^(V^(s^)+λc(s,s^))].\inf_{\widehat{\mathcal{M}}}\left(\mathbb{E}_{\hat{s}^{\prime}\sim\widehat{\mathcal{M}}(\cdot|s,a)}\widehat{V}(\hat{s}^{\prime})+\lambda\mathcal{W}(\widehat{\mathcal{M}},\mathcal{M})\right)=\mathbb{E}_{s^{\prime}\sim\mathcal{M}(\cdot|s,a)}\left[\inf_{\hat{s}^{\prime}}\left(\widehat{V}(\hat{s}^{\prime})+\lambda c(s^{\prime},\hat{s}^{\prime})\right)\right]. (20)

Substituting Equation 20 into Equation 19 and Equation 18, we obtain the dual reformulation of the original term as

OT=supλ0{𝔼sT(|s,a)[infs^(V^(s^)+λc(s,s^))]λϵ}.\mathrm{OT}=\sup_{\lambda\geq 0}\left\{\mathbb{E}_{s^{\prime}\sim T(\cdot|s,a)}\left[\inf_{\hat{s}^{\prime}}\left(\hat{V}(\hat{s}^{\prime})+\lambda c(s^{\prime},\hat{s}^{\prime})\right)\right]-\lambda\epsilon\right\}. (21)

The RHS in Equation 21 is exactly the Lagrange dual reformulation of Equation 17. This implies Equation 17 holds, which concludes the proof. ∎

B.3 Proof of Proposition 4.3

Proof.

We only discuss the case where sPsrc(|s,a)s^{\prime}\sim P_{\text{src}}(\cdot|s,a), since for sPtar(|s,a)s^{\prime}\sim P_{\text{tar}}(\cdot|s,a), the proof is identical as Proposition 4.1. For sPsrc(|s,a)s^{\prime}\sim P_{\text{src}}(\cdot|s,a), letting Q1Q_{1} and Q2Q_{2} be two arbitrary QQ functions, we have

𝒯RCBQ1𝒯RCBQ2\displaystyle\left\|\mathcal{T}_{\text{RCB}}Q_{1}-\mathcal{T}_{\text{RCB}}Q_{2}\right\|_{\infty} =γmaxs,a|𝔼s[infs¯Uϵ(s)maxaμ^(|s¯)Q1(s¯,a)infs¯Uϵ(s)maxaμ^(|s¯)Q2(s¯,a)]|\displaystyle=\gamma\max_{s,a}\left|\mathbb{E}_{s^{\prime}}\left[\inf_{\bar{s}\in U_{\epsilon}(s^{\prime})}\max\limits_{a^{\prime}\sim\hat{\mu}(\cdot|\bar{s})}Q_{1}(\bar{s},a^{\prime})-\inf_{\bar{s}\in U_{\epsilon}(s^{\prime})}\max\limits_{a^{\prime}\sim\hat{\mu}(\cdot|\bar{s})}Q_{2}(\bar{s},a^{\prime})\right]\right|
γmaxs,a𝔼s|infs¯Uϵ(s)maxaμ^(|s¯)Q1(s¯,a)infs¯Uϵ(s)maxaμ^(|s¯)Q2(s¯,a)|\displaystyle\leq\gamma\max_{s,a}\mathbb{E}_{s^{\prime}}\left|\inf_{\bar{s}\in U_{\epsilon}(s^{\prime})}\max\limits_{a^{\prime}\sim\hat{\mu}(\cdot|\bar{s})}Q_{1}(\bar{s},a^{\prime})-\inf_{\bar{s}\in U_{\epsilon}(s^{\prime})}\max\limits_{a^{\prime}\sim\hat{\mu}(\cdot|\bar{s})}Q_{2}(\bar{s},a^{\prime})\right|
γmaxs,aQ1Q2\displaystyle\leq\gamma\max_{s,a}\left\|Q_{1}-Q_{2}\right\|_{\infty}
=γQ1Q2,\displaystyle=\gamma\left\|Q_{1}-Q_{2}\right\|_{\infty},

where the second inequality holds from Equation 10 and Equation 11. Then, we can conclude that the practical RCB operator is still a γ\gamma-contraction operator. ∎

B.4 Proof of Proposition 4.4

Proof.

For any (s,a)𝒟src(s,a)\in\mathcal{D}_{\text{src}},

𝒯RCBQ(s,a)𝒯Q(s,a)\displaystyle\quad\mathcal{T}_{\text{RCB}}Q(s,a)-\mathcal{T}Q(s,a)
=γ(𝔼sPsrc[infs¯Uϵ(s)maxaμ^(|s¯)Q(s¯,a)]𝔼sPtar[maxaμ^(|s)Q(s,a)])\displaystyle=\gamma\left(\mathbb{E}_{s^{\prime}\sim P_{\mathcal{M}_{\text{src}}}}\left[\inf_{\bar{s}\in U_{\epsilon}(s^{\prime})}\max\limits_{a^{\prime}\sim\hat{\mu}(\cdot|\bar{s})}Q(\bar{s},a^{\prime})\right]-\mathbb{E}_{s^{\prime}\sim P_{\mathcal{M}_{\text{tar}}}}\left[\max\limits_{a^{\prime}\sim\hat{\mu}(\cdot|s^{\prime})}Q(s^{\prime},a^{\prime})\right]\right)
γ(infsPtarmaxaμ^(|s)Q(s,a)𝔼sPtar[maxaμ^(|s)Q(s,a)])\displaystyle\leq\gamma\left(\inf\limits_{s^{\prime}\sim P_{\mathcal{M}_{\text{tar}}}}\max\limits_{a^{\prime}\sim\hat{\mu}(\cdot|s^{\prime})}Q(s^{\prime},a^{\prime})-\mathbb{E}_{s^{\prime}\sim P_{\mathcal{M}_{\text{tar}}}}\left[\max\limits_{a^{\prime}\sim\hat{\mu}(\cdot|s^{\prime})}Q(s^{\prime},a^{\prime})\right]\right)
0,\displaystyle\leq 0,

where the first inequality holds by supp(Ptar(|s,a))Uϵ(ssrc)\operatorname{supp}(P_{\text{tar}}(\cdot|s,a))\subseteq U_{\epsilon}(s^{\prime}_{\text{src}}). In the mean time, for any (s,a)𝒟src(s,a)\in\mathcal{D}_{\text{src}}, we have

𝒯RCBQ(s,a)𝒯Q(s,a)\displaystyle\quad\mathcal{T}_{\text{RCB}}Q(s,a)-\mathcal{T}Q(s,a)
=γ(𝔼sPsrc[infs¯Uϵ(s)maxaμ^(|s¯)Q(s¯,a)]𝔼sPtar[maxaμ^(|s)Q(s,a)])\displaystyle=\gamma\left(\mathbb{E}_{s^{\prime}\sim P_{\mathcal{M}_{\text{src}}}}\left[\inf_{\bar{s}\in U_{\epsilon}(s^{\prime})}\max\limits_{a^{\prime}\sim\hat{\mu}(\cdot|\bar{s})}Q(\bar{s},a^{\prime})\right]-\mathbb{E}_{s^{\prime}\sim P_{\mathcal{M}_{\text{tar}}}}\left[\max\limits_{a^{\prime}\sim\hat{\mu}(\cdot|s^{\prime})}Q(s^{\prime},a^{\prime})\right]\right)
=γ(𝔼s¯[maxaμ^(|s¯)Q(s¯,a)]𝔼sPtar[maxaμ^(|s)Q(s,a)])\displaystyle=\gamma\left(\mathbb{E}_{\bar{s}}\left[\max\limits_{a^{\prime}\sim\hat{\mu}(\cdot|\bar{s})}Q(\bar{s},a^{\prime})\right]-\mathbb{E}_{s^{\prime}\sim P_{\mathcal{M}_{\text{tar}}}}\left[\max\limits_{a^{\prime}\sim\hat{\mu}(\cdot|s^{\prime})}Q(s^{\prime},a^{\prime})\right]\right)
γ(mins¯[maxaμ^(|s¯)Q(s¯,a)]maxsPtar[maxaμ^(|s)Q(s,a)]).\displaystyle\geq\gamma\left(\min_{\bar{s}}\left[\max\limits_{a^{\prime}\sim\hat{\mu}(\cdot|\bar{s})}Q(\bar{s},a^{\prime})\right]-\max_{s^{\prime}\sim P_{\mathcal{M}_{\text{tar}}}}\left[\max\limits_{a^{\prime}\sim\hat{\mu}(\cdot|s^{\prime})}Q(s^{\prime},a^{\prime})\right]\right).

Letting s¯=argmins¯[maxaμ^(|s¯)Q(s¯,a)]\bar{s}^{\star}=\arg\min_{\bar{s}}\left[\max\limits_{a^{\prime}\sim\hat{\mu}(\cdot|\bar{s})}Q(\bar{s},a^{\prime})\right] and s=argmaxsPtar[maxaμ^(|s)Q(s,a)]s^{\star}=\arg\max\limits_{s^{\prime}\sim P_{\mathcal{M}_{\text{tar}}}}\left[\max\limits_{a^{\prime}\sim\hat{\mu}(\cdot|s^{\prime})}Q(s^{\prime},a^{\prime})\right], we have

𝒯RCBQ(s,a)𝒯Q(s,a)\displaystyle\quad\mathcal{T}_{\text{RCB}}Q(s,a)-\mathcal{T}Q(s,a)
γ(maxaμ^(|s¯)Q(s¯,a)maxaμ^(|s)Q(s,a))\displaystyle\geq\gamma\left(\max\limits_{a^{\prime}\sim\hat{\mu}(\cdot|\bar{s}^{\star})}Q(\bar{s},a^{\prime})-\max\limits_{a^{\prime}\sim\hat{\mu}(\cdot|s^{\star})}Q(s^{\star},a^{\prime})\right)
γ(Q(s¯,a)Q(s,a))\displaystyle\geq\gamma\left(Q(\bar{s},a^{\star})-Q(s^{\star},a^{\star})\right)
2γϵKQ,\displaystyle\geq-2\gamma\epsilon K_{Q},

where a=argmaxaμ^(|s)Q(s,a)a^{\star}=\arg\max\limits_{a^{\prime}\sim\hat{\mu}(\cdot|s^{\star})}Q(s^{\star},a^{\prime}), and the last inequality holds by the Lipschitz continuity assumption and triangle inequality.

Combining the above results, we have

𝒯Q(s,a)2γϵKQ𝒯RCBQ(s,a)𝒯Q(s,a).\mathcal{T}Q(s,a)-2\gamma\epsilon K_{Q}\leq\mathcal{T}_{\text{RCB}}Q(s,a)\leq\mathcal{T}Q(s,a). (22)

Let QkQ^{k} denote the QQ value at iteration kk, and let the initial QQ value be Q0Q^{0}. After one iteration using the RCB operator and the oracle optimal Bellman operator, according to Equation 22,

Q1(s,a)2γϵKQ1γ(1γ)Q^RCB1(s,a)Q1(s,a).Q^{1}(s,a)-\frac{2\gamma\epsilon K_{Q}}{1-\gamma}(1-\gamma)\leq\hat{Q}^{1}_{\text{RCB}}(s,a)\leq Q^{1}(s,a).

Suppose when k=ik=i, we have

Qi(s,a)2γϵKQ1γ(1γi)Q^RCBi(s,a)Qi(s,a),i+.\displaystyle Q^{i}(s,a)-\frac{2\gamma\epsilon K_{Q}}{1-\gamma}(1-\gamma^{i})\leq\hat{Q}^{i}_{\text{RCB}}(s,a)\leq Q^{i}(s,a),\quad i\in\mathbb{Z}^{+}. (23)

For k=i+1k=i+1, we have

𝒯Q^RCBi(s,a)2γϵKQQ^RCBi+1(s,a)=𝒯RCBQ^RBCi(s,a)𝒯Q^RCBi(s,a).\mathcal{T}\hat{Q}^{i}_{\text{RCB}}(s,a)-2\gamma\epsilon K_{Q}\leq\hat{Q}^{i+1}_{\text{RCB}}(s,a)=\mathcal{T}_{\text{RCB}}\hat{Q}^{i}_{\text{RBC}}(s,a)\leq\mathcal{T}\hat{Q}^{i}_{\text{RCB}}(s,a).

On the one hand, we have

𝒯Q^RCBi(s,a)\displaystyle\quad\mathcal{T}\hat{Q}^{i}_{\text{RCB}}(s,a)
𝒯(Qi(s,a)2γϵKQ1γ(1γi))\displaystyle\geq\mathcal{T}\left(Q^{i}(s,a)-\frac{2\gamma\epsilon K_{Q}}{1-\gamma}(1-\gamma^{i})\right)
=r(s,a)+γ𝔼sPtar[maxaμ^(|s)(Qi(s,a)2γϵKQ1γ(1γi))]\displaystyle=r(s,a)+\gamma\mathbb{E}_{s^{\prime}\sim P_{\text{tar}}}\left[\max\limits_{a^{\prime}\sim\hat{\mu}(\cdot|s^{\prime})}\left(Q^{i}(s^{\prime},a^{\prime})-\frac{2\gamma\epsilon K_{Q}}{1-\gamma}(1-\gamma^{i})\right)\right]
=r(s,a)+γ𝔼sPtar[maxaμ^(|s)Qi(s,a)]γ2γϵKQ1γ(1γi)\displaystyle=r(s,a)+\gamma\mathbb{E}_{s^{\prime}\sim P_{\text{tar}}}\left[\max\limits_{a^{\prime}\sim\hat{\mu}(\cdot|s^{\prime})}Q^{i}(s^{\prime},a^{\prime})\right]-\gamma\frac{2\gamma\epsilon K_{Q}}{1-\gamma}(1-\gamma^{i})
=𝒯Qi(s,a)γ2γϵKQ1γ(1γi)\displaystyle=\mathcal{T}Q^{i}(s,a)-\gamma\frac{2\gamma\epsilon K_{Q}}{1-\gamma}(1-\gamma^{i})
=Qi+1(s,a)γ2γϵKQ1γ(1γi).\displaystyle=Q^{i+1}(s,a)-\gamma\frac{2\gamma\epsilon K_{Q}}{1-\gamma}(1-\gamma^{i}).

Therefore, we have

Q^RCBi+1(s,a)\displaystyle\quad\hat{Q}^{i+1}_{\text{RCB}}(s,a) (24)
Qi+1(s,a)γ2γϵKQ1γ(1γi)2γϵKQ\displaystyle\geq Q^{i+1}(s,a)-\gamma\frac{2\gamma\epsilon K_{Q}}{1-\gamma}(1-\gamma^{i})-2\gamma\epsilon K_{Q}
=Qi+1(s,a)2γϵKQ1γ(1γi+1).\displaystyle=Q^{i+1}(s,a)-\frac{2\gamma\epsilon K_{Q}}{1-\gamma}(1-\gamma^{i+1}).

On the other hand,

𝒯Q^RCBi(s,a)𝒯Qi(s,a)=Qi+1(s,a).\mathcal{T}\hat{Q}^{i}_{\text{RCB}}(s,a)\leq\mathcal{T}Q^{i}(s,a)=Q^{i+1}(s,a).

Therefore, we have

Q^RCBi+1(s,a)Qi+1(s,a).\hat{Q}^{i+1}_{\text{RCB}}(s,a)\leq Q^{i+1}(s,a). (25)

Combining the results of Equation 24 and Equation 25, we have

Qi+1(s,a)2γϵKQ1γ(1γi+1)Q^RCBi+1(s,a)Qi+1(s,a).Q^{i+1}(s,a)-\frac{2\gamma\epsilon K_{Q}}{1-\gamma}(1-\gamma^{i+1})\leq\hat{Q}^{i+1}_{\text{RCB}}(s,a)\leq Q^{i+1}(s,a).

Hence, Equation 23 still holds for k=i+1k=i+1. Therefore, Equation 23 holds for all k+k\in\mathbb{Z}^{+}. If kk is large enough, such that Q^RCB\hat{Q}_{\text{RCB}} and Q(s,a)Q(s,a) converge to the fixed point, then we have

Qμ^(s,a)2γϵKQ1γQ^RCB(s,a)Qμ^(s,a),Q^{\star}_{\hat{\mu}}(s,a)-\frac{2\gamma\epsilon K_{Q}}{1-\gamma}\leq\hat{Q}_{\text{RCB}}(s,a)\leq Q^{\star}_{\hat{\mu}}(s,a),

which concludes the proof. ∎

B.5 Proof of Proposition 4.5

Proof.

The learned value function V^RCB(s)\widehat{V}_{\text{RCB}}(s) by repeatedly applying 𝒯RCB\mathcal{T}_{\text{RCB}} satisfies:

V^RCB(s)=r(s,a)+γ𝔼sPsrc[infs¯Uϵ(s)V^RCB(s¯)]\widehat{V}_{\text{RCB}}(s)=r(s,a^{\star})+\gamma\mathbb{E}_{s^{\prime}\sim P_{\text{src}}}\left[\inf\limits_{\bar{s}\in U_{\epsilon}(s^{\prime})}\widehat{V}_{\text{RCB}}(\bar{s})\right]

where a=πRCB(|s)=argmaxaμ^(|s)[r(s,a)+γ𝔼sPsrc[infs¯Uϵ(s)V^RCB(s¯)]]a^{\star}=\pi_{\text{RCB}}(\cdot|s)=\arg\max\limits_{a\sim\hat{\mu}(\cdot|s)}\left[r(s,a)+\gamma\mathbb{E}_{s^{\prime}\sim P_{\text{src}}}\left[\inf\limits_{\bar{s}\in U_{\epsilon}(s^{\prime})}\widehat{V}_{\text{RCB}}(\bar{s})\right]\right].

Let c=max{c|Uc(star)Uϵ(ssrc),starPtar(|s,a),(s,a,ssrc)𝒟src}c=\max\left\{c\,|U_{c}(s^{\prime}_{\text{tar}})\subseteq U_{\epsilon}(s^{\prime}_{\text{src}}),s^{\prime}_{\text{tar}}\sim P_{\text{tar}}(\cdot|s,a),(s,a,s^{\prime}_{\text{src}})\sim\mathcal{D}_{\text{src}}\right\}. Then we have

𝔼sPtar[infs¯Uc(s)V^RCB(s¯)]𝔼sPsrc[infs¯Uϵ(s)V^RCB(s¯)],\mathbb{E}_{s^{\prime}\sim P_{\text{tar}}}\left[\inf\limits_{\bar{s}\in U_{c}(s^{\prime})}\widehat{V}_{\text{RCB}}(\bar{s})\right]\geq\mathbb{E}_{s^{\prime}\sim P_{\text{src}}}\left[\inf\limits_{\bar{s}\in U_{\epsilon}(s^{\prime})}\widehat{V}_{\text{RCB}}(\bar{s})\right],

since Uϵ(ssrc)U_{\epsilon}(s^{\prime}_{\text{src}}) has a broader region than Uc(star)U_{c}(s^{\prime}_{\text{tar}}). Given any dynamics PP which satisfies 𝒲(P(|s,a),Ptar(|s,a))c\mathcal{W}(P(\cdot|s,a),P_{\text{tar}}(\cdot|s,a))\leq c, we can iteratively evaluate πRCB\pi_{\text{RCB}} within PP:

Vk+1(s)\displaystyle V^{k+1}(s) =𝒯PπRCB(Vk(s))\displaystyle=\mathcal{T}^{\pi_{\text{RCB}}}_{P}(V^{k}(s))
=r(s,aπRCB(|s))+γ𝔼sP(|s,a)(Vk(s))\displaystyle=r(s,a\sim\pi_{\text{RCB}}(\cdot|s))+\gamma\mathbb{E}_{s^{\prime}\sim P(\cdot|s,a)}\left(V^{k}(s^{\prime})\right)
r(s,aπRCB(|s))+γ𝔼sPtar[infs¯Uc(s)Vk(s¯)].\displaystyle\geq r(s,a\sim\pi_{\text{RCB}}(\cdot|s))+\gamma\mathbb{E}_{s^{\prime}\sim P_{\text{tar}}}\left[\inf\limits_{\bar{s}\in U_{c}(s^{\prime})}V^{k}(\bar{s})\right].

If we initialize V0(s)V^{0}(s) as V^RCB(s)\widehat{V}_{\text{RCB}}(s), we have

V1(s)\displaystyle V^{1}(s) =𝒯PπRCB(V0(s))\displaystyle=\mathcal{T}^{\pi_{\text{RCB}}}_{P}(V^{0}(s))
r(s,aπRCB(|s))+γ𝔼sPtar[infs¯Uc(s)V^RCB(s¯)]\displaystyle\geq r(s,a\sim\pi_{\text{RCB}}(\cdot|s))+\gamma\mathbb{E}_{s^{\prime}\sim P_{\text{tar}}}\left[\inf\limits_{\bar{s}\in U_{c}(s^{\prime})}\widehat{V}_{\text{RCB}}(\bar{s})\right]
r(s,aπRCB(|s))+γ𝔼sPsrc[infs¯Uϵ(s)V^RCB(s¯)]\displaystyle\geq r(s,a\sim\pi_{\text{RCB}}(\cdot|s))+\gamma\mathbb{E}_{s^{\prime}\sim P_{\text{src}}}\left[\inf\limits_{\bar{s}\in U_{\epsilon}(s^{\prime})}\widehat{V}_{\text{RCB}}(\bar{s})\right]
=V^RCB(s)\displaystyle=\widehat{V}_{\text{RCB}}(s)
=V0(s).\displaystyle=V^{0}(s).

According to the monotonicity of the Bellman operator, we have V2(s)=𝒯PπRCB(V1(s))𝒯PπRCB(V0(s))=V1(s)V^{2}(s)=\mathcal{T}^{\pi_{\text{RCB}}}_{P}(V^{1}(s))\geq\mathcal{T}^{\pi_{\text{RCB}}}_{P}(V^{0}(s))=V^{1}(s). Similarly, we can get Vk(s)Vk1(s)V0(s)=V^RCB(s)V^{k}(s)\geq V^{k-1}(s)\geq\cdots\geq V^{0}(s)=\hat{V}_{\text{RCB}}(s). Given that 𝒯PπRCB\mathcal{T}^{\pi_{\text{RCB}}}_{P} is a γ\gamma-contraction, VPπRCB(s)=limkVk(s)V^RCB(s)V^{\pi_{\text{RCB}}}_{P}(s)=\lim\limits_{k\rightarrow\infty}V^{k}(s)\geq\widehat{V}_{\text{RCB}}(s), which proves Equation 3 and conclude the proof. ∎

B.6 Proof of Proposition 4.6

Proof.

We draw the proof inspiration from (Lyu et al., 2022). Given that sups,aDTV(P^tar(|s,a),Ptar(|s,a))ϵ<12\sup_{s,a}D_{TV}(\widehat{P}_{\text{tar}}(\cdot|s,a),P_{\text{tar}}(\cdot|s,a))\leq\epsilon<\frac{1}{2}, we have

1\displaystyle 1 >2ϵ\displaystyle>2\epsilon
2sups,aDTV(P^tar(|s,a),Ptar(|s,a))\displaystyle\geq 2\sup_{s,a}D_{TV}(\widehat{P}_{\text{tar}}(\cdot|s,a),P_{\text{tar}}(\cdot|s,a))
s|P^tar(s|s,a)Ptar(s|s,a)|\displaystyle\geq\sum_{s^{\prime}}\left|\widehat{P}_{\text{tar}}(s^{\prime}|s,a)-P_{\text{tar}}(s^{\prime}|s,a)\right|
=ssupp(Ptar(|s,a))|P^tar(s|s,a)Ptar(s|s,a)|+ssupp(Ptar(|s,a))|P^tar(s|s,a)Ptar(s|s,a)|\displaystyle=\sum_{s^{\prime}\in\operatorname{supp}(P_{\text{tar}}(\cdot|s,a))}\left|\widehat{P}_{\text{tar}}(s^{\prime}|s,a)-P_{\text{tar}}(s^{\prime}|s,a)\right|+\sum_{s^{\prime}\notin\operatorname{supp}(P_{\text{tar}}(\cdot|s,a))}\left|\widehat{P}_{\text{tar}}(s^{\prime}|s,a)-P_{\text{tar}}(s^{\prime}|s,a)\right|
ssupp(Ptar(|s,a))P^tar(s|s,a).\displaystyle\geq\sum_{s^{\prime}\notin\operatorname{supp}(P_{\text{tar}}(\cdot|s,a))}\widehat{P}_{\text{tar}}(s^{\prime}|s,a).

Note that the maximum QQ value Qmaxrmax1γQ_{\text{max}}\leq\frac{r_{\text{max}}}{1-\gamma}. Thus, we have

inf{si}NP^tar(|s,a)[maxaiμ^(|si)Q(si,ai)]\displaystyle\inf_{\{s^{\prime}_{i}\}^{N}\sim\widehat{P}_{\text{tar}}(\cdot|s,a)}\left[\max\limits_{a^{\prime}_{i}\sim\hat{\mu}(\cdot|s^{\prime}_{i})}Q(s^{\prime}_{i},a^{\prime}_{i})\right]\qquad\qquad\qquad\qquad\qquad\qquad\qquad\qquad\qquad\qquad
𝔼{si}NP^tar(|s,a)[maxaiμ^(|si)Q(si,ai)]\displaystyle\leq\mathbb{E}_{\{s^{\prime}_{i}\}^{N}\sim\widehat{P}_{\text{tar}}(\cdot|s,a)}\left[\max\limits_{a^{\prime}_{i}\sim\hat{\mu}(\cdot|s^{\prime}_{i})}Q(s^{\prime}_{i},a^{\prime}_{i})\right]
(i{ssupp(Ptar(|s,a))})𝔼sPtar(|s,a)[maxaμ^(|s)Q(s,a)]\displaystyle\leq\mathbb{P}\left(\bigcap_{i}\left\{s^{\prime}\in\operatorname{supp}(P_{\text{tar}}(\cdot|s,a))\right\}\right)\cdot\mathbb{E}_{s^{\prime}\sim P_{\text{tar}}(\cdot|s,a)}\left[\max_{a^{\prime}\sim\hat{\mu}(\cdot|s^{\prime})}Q(s^{\prime},a^{\prime})\right]
+(i{ssupp(Ptar(|s,a))})Qmax\displaystyle\quad+\mathbb{P}\left(\bigcup_{i}\left\{s^{\prime}\notin\operatorname{supp}(P_{\text{tar}}(\cdot|s,a))\right\}\right)\cdot Q_{\max}
𝔼sPtar(|s,a)[maxaμ^(|s)Q(s,a)]+(1((s1supp(Ptar(|s,a))))N)rmax1γ\displaystyle\leq\mathbb{E}_{s^{\prime}\sim P_{\text{tar}}(\cdot|s,a)}\left[\max_{a^{\prime}\sim\hat{\mu}(\cdot|s^{\prime})}Q(s^{\prime},a^{\prime})\right]+\left(1-\left(\mathbb{P}(s_{1}^{\prime}\in\operatorname{supp}(P_{\text{tar}}(\cdot|s,a)))\right)^{N}\right)\frac{r_{\text{max}}}{1-\gamma}
𝔼sPtar(|s,a)[maxaμ^(|s)Q(s,a)]+(1(12ϵ)N)rmax1γ,\displaystyle\leq\mathbb{E}_{s^{\prime}\sim P_{\text{tar}}(\cdot|s,a)}\left[\max_{a^{\prime}\sim\hat{\mu}(\cdot|s^{\prime})}Q(s^{\prime},a^{\prime})\right]+\left(1-(1-2\epsilon)^{N}\right)\frac{r_{\text{max}}}{1-\gamma},

where the first inequality uses the law of total expectation. Thus, we conclude the proof. ∎

Appendix C Experimental Settings

In this section, we introduce the detailed environmental settings missing in the main text.

C.1 Tasks and Datasets

Target domain and datasets. We directly adopt the four locomotion tasks from MuJoCo Engine (Todorov et al., 2012) as the target domain tasks: halfcheetah-v2, hopper-v2, walker2d-v2, ant-v3. For the target domain datasets, we reuse the datasets in D4RL (Fu et al., 2020) for each task. Since cross-domain offline RL only allows a small quantity of target domain data, we sample 10%10\% data from the original D4RL datasets as the target domain datasets. The target domain datasets consist of four data qualities for each task: the medium datasets that contain samples collected by an early-stopped SAC policy; the medium-replay datasets that represent the replay buffer of the medium-level SAC agent; the medium-expert datasets that mix the medium data and expert data at a 50-50 ratio; the expert datasets that are collected by an SAC policy trained to the expert level. The trained policy is evaluated in the target domain, and the evaluation metric we use is Normalized Score in D4RL:

Normalized Score=JπJrandomJexpertJrandom×100%,\text{Normalized Score}=\frac{J_{\pi}-J_{\text{random}}}{J_{\text{expert}}-J_{\text{random}}}\times 100\%,

where JπJ_{\pi} is the return acquired by the trained policy in the target domain, and JexpertJ_{\text{expert}} and JrandomJ_{\text{random}} are the returns acquired by the expert policy and the random policy in the target domain, respectively.

Source domain and datasets. To simulate the source domain with dynamics shifts, we consider the four MuJoCo tasks (halfcheetah-v2, hopper-v2, walker2d-v2, ant-v3) with kinematic shifts and morphology shifts introduced as the source domain. The kinematic shifts refer to some joints of the robot being broken and unable to rotate, while the morphology shifts indicate that the robot’s morphology is modified, differing from the target domain. To illustrate this more clearly, we visualize the robots in both the target and source domains for all four tasks in Figure 4. We also provide detailed code-level modifications for implementing the dynamics shifts in the following section.

For the source domain datasets, we follow a data collection process similar to D4RL. Specifically, we train an SAC policy in the source domain for 1M environmental steps and log policy checkpoints at different steps for trajectory rollouts. The medium datasets are collected using a logged policy that achieves approximately half the performance of the expert policy. The medium-replay datasets consist of the logged replay buffer from the medium-level agent. The expert datasets are collected using the final policy checkpoint, while the medium-expert datasets are a 50-50 mixture of medium-level and expert-level data. Note that all the source domain datasets contain about 1M samples, whereas the target domain datasets contain much fewer samples.

Refer to caption
Figure 4: Visualization of the target domains and source domains with kinematic shifts and morphology shifts, across four tasks (halfcheetah, hopper, walker2d, ant).

C.2 Kinematic Shifts Realization

To simulate the kinematic shifts in the source domain, we modify the xml files of the original environments. Specifically, we change the rotation angle of some joints of the simulated robot for different tasks:

halfcheetah-kinematic: The rotation angle of the joint on the thigh of the robot’s back leg is modified from [0.52,1.05][-0.52,1.05] to [0.0052,0.0105][-0.0052,0.0105].

# broken back thigh joint
<joint axis="0 1 0" damping="6" name="bthigh" pos="0 0 0" range="-.0052 .0105" stiffness="240" type="hinge"/>

hopper-kinematic: The rotation angle of the head joint is modified from [150,0][-150,0] to [0.15,0][-0.15,0] and the rotation angle of the foot joint is modified from [45,45][-45,45] to [18,18][-18,18].

# broken head joint
<joint axis="0 -1 0" name="thigh_joint" pos="0 0 1.05" range="-0.15 0" type="hinge"/>
# broken foot joint
<joint axis="0 -1 0" name="foot_joint" pos="0 0 0.1" range="-18 18" type="hinge"/>

walker2d-kinematic: The rotation angle of the right foot joint is modified from [45,45][-45,45] to [0.45,0.45][-0.45,0.45].

# broken right foot joint
<joint axis="0 -1 0" name="foot_joint" pos="0 0 0.1" range="-0.45 0.45" type="hinge"/>

ant-kinematic: The rotation angles of the joints on the hip of two front legs are modified from [30,30][-30,30] to [0.3,0.3][-0.3,0.3].

# broken hip joints of front legs
<joint axis="0 0 1" name="hip_1" pos="0.0 0.0 0.0" range="-0.3 0.3" type="hinge"/>
<joint axis="0 0 1" name="hip_2" pos="0.0 0.0 0.0" range="-0.3 0.3" type="hinge"/>

C.3 Morphology Shifts Realization

Akin to the kinematic shifts, we modify the xml files to simulate morphology shifts:

halfcheetah-morph: The sizes of the back thigh and the forward thigh are modified.

# back thigh
<geom fromto="0 0 0 -0.0001 0 -0.0001" name="bthigh" size="0.046" type="capsule"/>
<body name="bshin" pos="-0.0001 0 -0.0001">
# front thigh
<geom fromto="0 0 0 0.0001 0 0.0001" name="fthigh" size="0.046" type="capsule"/>
<body name="fshin" pos="0.0001 0 0.0001">

hopper-morph: The head size of the robot is modified.

# head size
<geom friction="0.9" fromto="0 0 1.45 0 0 1.05" name="torso_geom" size="0.125" type="capsule"/>

walker2d-morph: The thigh on the right leg of the robot is modified.

# right leg
<body name="thigh" pos="0 0 1.05">
<joint axis="0 -1 0" name="thigh_joint" pos="0 0 1.05" range="-150 0" type="hinge"/>
<geom friction="0.9" fromto="0 0 1.05 0 0 1.045" name="thigh_geom" size="0.05" type="capsule"/>
<body name="leg" pos="0 0 0.35">
<joint axis="0 -1 0" name="leg_joint" pos="0 0 1.045" range="-150 0" type="hinge"/>
<geom friction="0.9" fromto="0 0 1.045 0 0 0.3" name="leg_geom" size="0.04" type="capsule"/>
<body name="foot" pos="0.2 0 0">
<joint axis="0 -1 0" name="foot_joint" pos="0 0 0.3" range="-45 45" type="hinge"/>
<geom friction="0.9" fromto="-0.0 0 0.3 0.2 0 0.3" name="foot_geom" size="0.06" type="capsule"/>
</body>
</body>
</body>

ant-morph: The size of the robot’s two front legs is reduced.

# front leg 1
<geom fromto="0.0 0.0 0.0 0.1 0.1 0.0" name="left_ankle_geom" size="0.08" type="capsule"/>
# front leg 2
<geom fromto="0.0 0.0 0.0 -0.1 0.1 0.0" name="right_ankle_geom" size="0.08" type="capsule"/>

Appendix D Implementation Details

In this section, we provide the implementation details for the baselines we use in our experiments and our method, DROCO.

D.1 Baselines

IQL\text{IQL}^{\star}: IQL\text{IQL}^{\star} is the cross-domain adaptation of IQL (Kostrikov et al., 2021). IQL\text{IQL}^{\star} follows the same algorithmic procedure except being trained on both target and source domain datasets. The state value function is trained by expectile regression:

V=𝔼(s,a)𝒟src𝒟tar[L2τ(Qθ(s,a)Vψ(s))],\mathcal{L}_{V}=\mathbb{E}_{(s,a)\sim\mathcal{D}_{\text{src}}\cup\mathcal{D}_{\text{tar}}}\left[L_{2}^{\tau}(Q_{\theta^{\prime}}(s,a)-V_{\psi}(s))\right],

where L2τ(u)=|τ𝕀(u<0)|u2L_{2}^{\tau}(u)=\left|\tau-\mathbb{I}(u<0)\right|u^{2}, 𝕀()\mathbb{I}(\cdot) is the indicator function, and θ\theta^{\prime} is the parameter of the target network. This expectile regression enables learning an in-sample optimal value function. Subsequently, the state-action value function is updated by:

Q=𝔼(s,a,r,s)𝒟src𝒟tar[(r(s,a)+γVψ(s)Qθ(s,a))2].\mathcal{L}_{Q}=\mathbb{E}_{(s,a,r,s^{\prime})\sim\mathcal{D}_{\text{src}}\cup\mathcal{D}_{\text{tar}}}\left[(r(s,a)+\gamma V_{\psi}(s^{\prime})-Q_{\theta}(s,a))^{2}\right].

Then the advantage value is computed as A(s,a)=Q(s,a)V(s,a)A(s,a)=Q(s,a)-V(s,a). Based on this, the policy is obtained through exponential advantage-weighted behavior cloning:

π=𝔼(s,a)𝒟src𝒟tar[exp(β×A(s,a))logπϕ(a|s)],\mathcal{L}_{\pi}=-\mathbb{E}_{(s,a)\sim\mathcal{D}_{\text{src}}\cup\mathcal{D}_{\text{tar}}}\left[\exp(\beta\times A(s,a))\log\pi_{\phi}(a|s)\right],

where β\beta is the inverse temperature coefficient. We implement IQL\text{IQL}^{\star} based on the official codebase222https://github.com/ikostrikov/implicit_q_learning.git of IQL.

CQL\text{CQL}^{\star}: the cross-domain version of CQL (Kumar et al., 2020) similar to IQL\text{IQL}^{\star}. CQL learns a conservative value function that lower bounds the true value function:

Q=α𝔼s𝒟[logaexp(Q(s,a))𝔼aμ[Q(s,a)]]+12𝔼(s,a,s)𝒟[(Q(s,a)𝒯Q(s,a))2]\mathcal{L}_{Q}=\alpha\mathbb{E}_{s\in\mathcal{D}}\left[\log\sum_{a}\exp(Q(s,a))-\mathbb{E}_{a\sim\mu}[Q(s,a)]\right]+\frac{1}{2}\mathbb{E}_{(s,a,s^{\prime})\in\mathcal{D}}\left[(Q(s,a)-\mathcal{T}Q(s,a))^{2}\right]

The policy π\pi is then optimized with SAC (Haarnoja et al., 2018). We implement CQL\text{CQL}^{\star} based on the implementation of CORL333https://github.com/tinkoff-ai/CORL.git.

BOSA: BOSA (Liu et al., 2024a) identifies two key challenges in cross-domain offline RL: the state-action OOD problem and the dynamics OOD problem. To address these, BOSA proposes two support constraints. Specifically, BOSA handles the OOD state-action problem by supported policy optimization, and mitigates the OOD dynamics problem by supported value optimization. The critic is updated through supported value optimization:

Q=𝔼(s,a)𝒟src[Qθi(s,a)]+𝔼(s,a,r,s)𝒟src𝒟tar,aπϕ(s)[𝕀(P^tar(s|s,a)>ϵ)(Qθi(s,a)y)2],\mathcal{L}_{Q}=\mathbb{E}_{(s,a)\sim\mathcal{D}_{\text{src}}}\left[Q_{\theta_{i}}(s,a)\right]+\mathbb{E}_{\begin{subarray}{c}(s,a,r,s^{\prime})\sim\mathcal{D}_{\text{src}}\cup\mathcal{D}_{\text{tar}},\\ a^{\prime}\sim\pi_{\phi}(s^{\prime})\end{subarray}}\left[\mathbb{I}(\hat{P}_{tar}(s^{\prime}|s,a)>\epsilon)(Q_{\theta_{i}}(s,a)-y)^{2}\right],

where 𝕀()\mathbb{I}(\cdot) is the indicator function, and P^tar(s|s,a)\hat{P}_{\text{tar}}(s^{\prime}|s,a) is the estimated target domain dynamics, and ϵ\epsilon is the threshold coefficient. The policy in BOSA is updated by supported policy optimization to mitigate the OOD action issue:

π=𝔼s𝒟src𝒟tar,aπϕ(s)[Qθi(s,a)],s.t. 𝔼s𝒟src𝒟tar[π^mix(πϕ(s)s)]>ϵ,\mathcal{L}_{\pi}=\mathbb{E}_{s\sim\mathcal{D}_{\text{src}}\cup\mathcal{D}_{\text{tar}},\ a\sim\pi_{\phi}(s)}\left[Q_{\theta_{i}}(s,a)\right],\quad\text{s.t. }\mathbb{E}_{s\sim\mathcal{D}_{\text{src}}\cup\mathcal{D}_{\text{tar}}}\left[\hat{\pi}_{\text{mix}}(\pi_{\phi}(s)\mid s)\right]>\epsilon^{\prime},

where ϵ\epsilon^{\prime} is the threshold coefficient, and π^ϕmix(|s)\hat{\pi}_{\phi_{\text{mix}}}(\cdot|s) is the behavior policy of the mixed datasets 𝒟src𝒟tar\mathcal{D}_{\text{src}}\cup\mathcal{D}_{\text{tar}} learned with CVAE (Kingma et al., 2013). We adopt the BOSA implementation from ODRL444https://github.com/OffDynamicsRL/off-dynamics-rl.git benchmark (Lyu et al., 2024b), which provides reliable implementations for various off-dynamics RL algorithms.

DARA. DARA (Liu et al., 2022) employs dynamics-aware reward modification to achieve dynamics adaptation, extending DARC (Eysenbach et al., 2020) to the offline setting. Specifically, DARA trains two domain classifiers qθSAS(target|st,at,st+1)q_{\theta_{SAS}}(\text{target}|s_{t},a_{t},s_{t+1}) and qθSA(target|st,at)q_{\theta_{SA}}(\text{target}|s_{t},a_{t}) as follows:

θSAS\displaystyle\mathcal{L}_{\theta_{SAS}} =𝔼𝒟tar[logqθSAS(target|st,at,st+1)]+𝔼𝒟src[log(1qθSAS(target|st,at,st+1))]\displaystyle=\mathbb{E}_{\mathcal{D}_{\text{tar}}}\left[\log q_{\theta_{SAS}}(\text{target}|s_{t},a_{t},s_{t+1})\right]+\mathbb{E}_{\mathcal{D}_{\text{src}}}\left[\log(1-q_{\theta_{SAS}}(\text{target}|s_{t},a_{t},s_{t+1}))\right]
θ𝒮𝒜\displaystyle\mathcal{L_{\theta_{SA}}} =𝔼𝒟tar[logqθSA(target|st,at)]+𝔼𝒟src[log(1qθSA(target|st,at))].\displaystyle=\mathbb{E}_{\mathcal{D}_{\text{tar}}}\left[\log q_{\theta_{SA}}(\text{target}|s_{t},a_{t})\right]+\mathbb{E}_{\mathcal{D}_{\text{src}}}\left[\log(1-q_{\theta_{SA}}(\text{target}|s_{t},a_{t}))\right].

The domain classifiers are used to quantify the dynamics gap logPtar(st+1|st,at)Psrc(st+1|st,at)\log\frac{P_{\mathcal{M}_{\text{tar}}}(s_{t+1}|s_{t},a_{t})}{P_{\mathcal{M}_{\text{src}}}(s_{t+1}|s_{t},a_{t})} between the source domain and the target domain according to Bayes’ rule. Then the estimated dynamics gap serves as a penalty to the source domain rewards:

r^DARA=rλ×δr,δr(st,at)=logqθSAS(target|st,at,st+1)qθSA(source|st,at)qθSAS(source|st,at,st+1)qθSA(target|st,at),\hat{r}_{\text{DARA}}=r-\lambda\times\delta_{r},\quad\delta_{r}(s_{t},a_{t})=-\log\frac{q_{\theta_{\text{SAS}}}(\text{target}|s_{t},a_{t},s_{t+1})q_{\theta_{\text{SA}}}(\text{source}|s_{t},a_{t})}{q_{\theta_{\text{SAS}}}(\text{source}|s_{t},a_{t},s_{t+1})q_{\theta_{\text{SA}}}(\text{target}|s_{t},a_{t})}, (26)

where λ\lambda controls the intensity of the reward penalty. We use the DARA implementation from ODRL and follow the hyperparameter setting in the original paper: λ\lambda is set to 0.10.1, and the reward penalty is clipped within [10,10][-10,10] for training stability.

IGDF. IGDF (Wen et al., 2024) quantifies the domain discrepancy between the source domain and the target domain with contrastive representation learning. To facilitate effective knowledge transfer, IGDF implements data filtering to selectively share source domain samples exhibiting smaller dynamics gaps. Specifically, IGDF trains a score function h()h(\cdot) using (s,a,star)𝒟tar(s,a,s^{\prime}_{\text{tar}})\sim\mathcal{D}_{\text{tar}} as the positive samples, and transitions (s,a,ssrc)(s,a,s^{\prime}_{\text{src}}) as the negative samples, where (s,a)𝒟tar(s,a)\sim\mathcal{D}_{\text{tar}} and ssrc𝒟srcs^{\prime}_{\text{src}}\sim\mathcal{D}_{\text{src}}. h()h(\cdot) is optimized via the following contrastive learning objective:

=𝔼(s,a,star)𝔼ssrc[logh(s,a,star)sstarssrch(s,a,s)].\mathcal{L}=-\mathbb{E}_{(s,a,s^{\prime}_{\text{tar}})}\mathbb{E}_{s^{\prime}_{\text{src}}}\left[\log\frac{h(s,a,s^{\prime}_{\text{tar}})}{\sum_{s^{\prime}\in s^{\prime}_{\text{tar}}\cup s^{\prime}_{\text{src}}}h(s,a,s^{\prime})}\right].

Based on the learned score function, IGDF proposes to selectively share source domain data for training value functions:

Q=12𝔼𝒟tar[(Qθ𝒯Qθ)2]+12αh(s,a,s)𝔼(s,a,s)𝒟src[𝕀(h(s,a,s)>hξ%)(Qθ𝒯Qθ)2],\mathcal{L}_{Q}=\frac{1}{2}\mathbb{E}_{\mathcal{D}_{\text{tar}}}\left[(Q_{\theta}-\mathcal{T}Q_{\theta})^{2}\right]+\frac{1}{2}\alpha\cdot h(s,a,s^{\prime})\mathbb{E}_{(s,a,s^{\prime})\sim\mathcal{D}_{\text{src}}}\left[\mathbb{I}(h(s,a,s^{\prime})>h_{\xi\%})(Q_{\theta}-\mathcal{T}Q_{\theta})^{2}\right],

where 𝕀()\mathbb{I}(\cdot) is the indicator function, α\alpha is the weighting coefficient, ξ\xi is the data selection ratio. We implement IGDF based on its official codebase555https://github.com/BattleWen/IGDF.git.

OTDF. OTDF (Lyu et al., 2025) estimates the discrepancy between the source domain and target domain by computing the Wasserstein distance (Peyré et al., 2019):

𝒲(u,u)=minμMt=1|𝒟src|t=1|𝒟tar|C(ut,ut)μt,t,\mathcal{W}(u,u^{\prime})=\min_{\mu\in M}\sum_{t=1}^{|\mathcal{D}_{\text{src}}|}\sum_{t^{\prime}=1}^{|\mathcal{D}_{\text{tar}}|}C(u_{t},u^{\prime}_{t^{\prime}})\cdot\mu_{t,t^{\prime}}, (27)

where u=ssrcasrcssrcu=s_{\text{src}}\oplus a_{\text{src}}\oplus s^{\prime}_{\text{src}}, u=staratarstaru^{\prime}=s_{\text{tar}}\oplus a_{\text{tar}}\oplus s^{\prime}_{\text{tar}} are the concatenated vectors, CC is the cost function and MM is the coupling matrices. After solving Equation 27 for the optimal coupling matrix μ\mu^{\star}, the OTDF computes the distance between a source domain sample and the target domain dataset via

d(ut)=t=1|𝒟tar|C(ut,ut)μt,t,ut=(ssrct,asrct,(ssrc)t)𝒟src.d(u_{t})=-\sum_{t^{\prime}=1}^{\left|\mathcal{D}_{\text{tar}}\right|}C(u_{t},u_{t^{\prime}})\mu_{t,t^{\prime}}^{\star},\quad u_{t}=(s_{\text{src}}^{t},a^{t}_{\text{src}},(s^{\prime}_{\text{src}})^{t})\sim\mathcal{D}_{\text{src}}.

Then the critic is updated by

Q=𝔼𝒟tar[(Qθ𝒯Qθ)2]+𝔼(s,a,s)𝒟src[exp(α×d)𝕀(d>d%)(Qθ𝒯Qθ)2].\mathcal{L}_{Q}=\mathbb{E}_{\mathcal{D}_{\text{tar}}}\left[(Q_{\theta}-\mathcal{T}Q_{\theta})^{2}\right]+\mathbb{E}_{(s,a,s^{\prime})\sim\mathcal{D}_{\text{src}}}\left[\exp(\alpha\times d)\mathbb{I}(d>d_{\%})(Q_{\theta}-\mathcal{T}Q_{\theta})^{2}\right].

Furthermore, OTDF incorporates a policy regularization term that forces the policy to stay close to the support of the target dataset:

π^=πβ×𝔼s𝒟src𝒟tarlogπtarb(π(|s)|s),\widehat{\mathcal{L}_{\pi}}=\mathcal{L}_{\pi}-\beta\times\mathbb{E}_{s\sim\mathcal{D}_{\text{src}}\cup\mathcal{D}_{\text{tar}}}\log\pi_{\text{tar}}^{b}(\pi(\cdot|s)|s),

where π\mathcal{L}_{\pi} is the original policy optimization objective and β\beta is the weight coefficient, πtarb\pi_{\text{tar}}^{b} is the behavior policy of the target domain dataset learned with a CVAE. We run the official code666https://github.com/dmksjfl/OTDF.git for OTDF in our experiments.

D.2 Implementation details of DROCO

In this part, we provide more implementation details of DROCO omitted in the main text.

First, we model the target domain dynamics using a neural network that outputs a Gaussian distribution over the next state: P^ψ(s|s,a)=𝒩(μψ(s,a),Σψ(s,a))\widehat{P}_{\psi}(s^{\prime}|s,a)=\mathcal{N}\left(\mu_{\psi}(s,a),\Sigma_{\psi}(s,a)\right). We learn an ensemble of NN dynamics models {P^ψi=𝒩(μψi,Σψi)}i=1N\{\widehat{P}_{\psi_{i}}=\mathcal{N}(\mu_{\psi_{i}},\Sigma_{\psi_{i}})\}_{i=1}^{N}, with each model trained independently with maximum likelihood estimation (MLE) on the target domain dataset:

ψi=𝔼(s,a,s)𝒟tar[logP^ψi(s|s,a)].\mathcal{L}_{\psi_{i}}=\mathbb{E}_{(s,a,s^{\prime})\in\mathcal{D}_{\text{tar}}}\left[\log\widehat{P}_{\psi_{i}}(s^{\prime}|s,a)\right]. (28)

When we sample from the uncertainty set, we can directly sample from each dynamics model 𝒩(μψi,Σψi)\mathcal{N}(\mu_{\psi_{i}},\Sigma_{\psi_{i}}) as the sampling points. We can then compute the value penalty and penalize the Q value of source domain data when leveraging IQL for policy optimization. Specifically, we perform expectile regression to train the V function:

V(η)=𝔼(s,a)𝒟src𝒟tar[2τ(Qθ(s,a)Vη(s))],\mathcal{L}_{V}(\eta)=\mathbb{E}_{(s,a)\sim\mathcal{D}_{\text{src}}\cup\mathcal{D}_{\text{tar}}}\left[\mathcal{L}_{2}^{\tau}(Q_{\theta}(s,a)-V_{\eta}(s))\right],

where 2τ(u)=|τ𝕀(u<0)|u2\mathcal{L}_{2}^{\tau}(u)=|\tau-\mathbb{I}(u<0)|u^{2} and τ(0,1)\tau\in(0,1). For τ1\tau\approx 1, VηV_{\eta} can capture the in-sample maximal Q (Kostrikov et al., 2021): Vη(s)maxaμ^(|s)Q(s,a)V_{\eta}(s)\approx\max_{a\sim\hat{\mu}(\cdot|s)}Q(s,a). We can then practically compute the value penalty as

u(s,a,s)=𝕀(sPsrc(|s,a))(V(s)inf{si}NP^ψi(|s,a)[V(si)]),u(s,a,s^{\prime})=\mathbb{I}\left(s^{\prime}\sim P_{\text{src}}(\cdot|s,a)\right)\cdot\bigg(V(s^{\prime})-\inf_{\{s^{\prime}_{i}\}^{N}\sim\widehat{P}_{\psi_{i}}(\cdot|s,a)}\left[V(s^{\prime}_{i})\right]\bigg), (29)

and the practical Bellman target can be written as

𝒯^RCBQ(s,a)=r(s,a)+γ𝔼sP(|s,a)[V(s)βu(s,a,s)].\widehat{\mathcal{T}}_{\mathrm{RCB}}Q(s,a)=r(s,a)+\gamma\mathbb{E}_{s^{\prime}\sim P_{\mathcal{M}}(\cdot|s,a)}\left[V(s^{\prime})-\beta\cdot u(s,a,s^{\prime})\right]. (30)

Then, we incorporate Huber loss and have the following Q training loss:

Q(θ)=𝔼𝒟src[lδ(Qθ(s,a)𝒯^RCBQθ(s,a))]+12𝔼𝒟tar[(Qθ(s,a)𝒯Qθ(s,a))2],\mathcal{L}_{Q}(\theta)=\mathbb{E}_{\mathcal{D}_{\mathrm{src}}}\left[l_{\delta}\left(Q_{\theta}(s,a)-\widehat{\mathcal{T}}_{\text{RCB}}Q_{\theta}(s,a)\right)\right]+\frac{1}{2}\mathbb{E}_{\mathcal{D}_{\mathrm{tar}}}\left[\left(Q_{\theta}(s,a)-\mathcal{T}Q_{\theta}(s,a)\right)^{2}\right], (31)

where lδl_{\delta} is the Huber loss. The final step is policy learning. We follow IQL and utilize exponential advantage-weighted imitation learning to extract the policy:

π(ϕ)=𝔼𝒟src𝒟tar[exp(Q(s,a)V(s))logπϕ(a|s)].\mathcal{L}_{\pi}(\phi)=-\mathbb{E}_{\mathcal{D}_{\text{src}}\cup\mathcal{D}_{\text{tar}}}\left[\exp(Q(s,a)-V(s))\log\pi_{\phi}(a|s)\right].

We show the detailed pseudocode of DROCO in Algorithm 1.

Algorithm 1 Dual-Robust Cross-domain Offline RL (DROCO)
1:Require: Source domain offline dataset 𝒟src\mathcal{D}_{\text{src}}, target domain offline dataset 𝒟tar\mathcal{D}_{\text{tar}}, mixed offline dataset 𝒟mix\mathcal{D}_{\text{mix}}
2:Initialization: Policy network πϕ\pi_{\phi}, value network VηV_{\eta}, QQ network QθQ_{\theta}, ensemble dynamics model P^ψ={P^ψi}i=1N\widehat{P}_{\psi}=\{\widehat{P}_{\psi_{i}}\}_{i=1}^{N}, penalty coefficient β\beta, transition threshold δ\delta for Huber loss
3:// Train the ensemble dynamics model
4:for each model gradient step do
5:  for each ensemble member P^ψi\hat{P}_{\psi_{i}} do
6:   Compute loss ψi=𝔼(s,a,s)𝒟tar[logP^ψi(s|s,a)]\mathcal{L}_{\psi_{i}}=\mathbb{E}_{(s,a,s^{\prime})\in\mathcal{D}_{\text{tar}}}\left[\log\widehat{P}_{\psi_{i}}(s^{\prime}|s,a)\right]
7:   Update P^ψi\widehat{P}_{\psi_{i}} using ψi\mathcal{L}_{\psi_{i}}
8:  end for
9:end for
10:// TD Learning
11:for each gradient step do
12:  Sample bsrc:={(s,a,r,s)}b_{\text{src}}:=\{(s,a,r,s^{\prime})\} from 𝒟src\mathcal{D}_{\text{src}}
13:  Sample btar:={(s,a,r,s)}b_{\text{tar}}:=\{(s,a,r,s^{\prime})\} from 𝒟tar\mathcal{D}_{\text{tar}}
14:  // Optimize the VβV_{\beta} function
15:  Compute loss V\mathcal{L}_{V}:
16:   V=𝔼(s,a)𝒟src𝒟tar[2τ(Qθ(s,a)Vη(s))]\mathcal{L}_{V}=\mathbb{E}_{(s,a)\sim\mathcal{D}_{\text{src}}\cup\mathcal{D}_{\text{tar}}}\left[\mathcal{L}_{2}^{\tau}\left(Q_{\theta}(s,a)-V_{\eta}(s)\right)\right]
17:  Update VηV_{\eta} using V\mathcal{L}_{V}
18:  // Compute the value penalty
19:  compute u(s,a,s)=𝕀(sPsrc(|s,a))(V(s)inf{si}NP^ψi(|s,a)[V(si)])u(s,a,s^{\prime})=\mathbb{I}\left(s^{\prime}\sim P_{\text{src}}(\cdot|s,a)\right)\cdot\bigg(V(s^{\prime})-\inf_{\{s^{\prime}_{i}\}^{N}\sim\widehat{P}_{\psi_{i}}(\cdot|s,a)}\left[V(s^{\prime}_{i})\right]\bigg)
20:  // Optimize the QθQ_{\theta} function
21:  Compute loss Q\mathcal{L}_{Q}:
22:   Q=12𝔼(s,a,r,s)𝒟tar[(Qθ(s,a)(r+γVη(s)))2]\mathcal{L}_{Q}=\frac{1}{2}\cdot\mathbb{E}_{(s,a,r,s^{\prime})\sim\mathcal{D}_{\text{tar}}}\left[\left(Q_{\theta}(s,a)-(r+\gamma V_{\eta}(s^{\prime}))\right)^{2}\right]
23:   +12𝔼(s,a,r,s)𝒟src[lδ(Qθ(s,a)(r+γVη(s)βu(s,a,s)))]+\frac{1}{2}\cdot\mathbb{E}_{(s,a,r,s^{\prime})\sim\mathcal{D}_{\text{src}}}\left[l_{\delta}\left(Q_{\theta}(s,a)-(r+\gamma V_{\eta}(s^{\prime})-\beta u(s,a,s^{\prime}))\right)\right]
24:  Update QθQ_{\theta} using Q\mathcal{L}_{Q}
25:  // Update target network
26:  Update target network parameters: θ(1μ)θ+μθ\theta^{\prime}\leftarrow(1-\mu)\theta+\mu\theta^{\prime}
27:  // Policy Extraction (AWR)
28:  Compute advantage A(s,a)=Qθ(s,a)Vη(s)A(s,a)=Q_{\theta}(s,a)-V_{\eta}(s)
29:  Optimize policy network πη\pi_{\eta} using advantage-weighted regression (AWR):
30:   π=𝔼(s,a)𝒟src𝒟tar[exp(αA(s,a))logπϕ(a|s)]\mathcal{L}_{\pi}=\mathbb{E}_{(s,a)\sim\mathcal{D}_{\text{src}}\cup\mathcal{D}_{\text{tar}}}\left[\exp(\alpha A(s,a))\log\pi_{\phi}(a|s)\right]
31:end for

Appendix E Extended Experimental Results

E.1 Extended Results of Motivation Example

In Section 3, we demonstrate our motivation with a simple example. In this part, we provide more details and results for the motivation example.

The source and target domains are hopper-kinematic-v2 and hopper-v2 respectively, with their corresponding datasets being hopper-kinematic-expert and hopper-expert. Figure 1 in Section 3 demonstrates performance across different target domain data sizes under three test-time kinematic perturbation levels (easy, medium, hard), implemented as in (Lyu et al., 2024b). We further evaluate the trained IGDF under morphology perturbations and min-Q perturbations (with other settings unchanged), presenting results in Figure 5.

The results clearly show that with only 10%10\% D4RL data, IGDF’s robustness to dynamics perturbations is significantly weaker compared to using 100%100\% D4RL data. Notably, under easy-level morphology perturbations, IGDF with 10%10\% D4RL data exhibits a 66.9%66.9\% performance drop, versus only 21.8%21.8\% degradation with 100%100\% data. These findings, combined with the results in Section 3, validate our motivation that cross-domain offline RL is particularly sensitive to dynamics perturbations when limited target domain data is available, underscoring the need for enhanced test-time robustness.

Refer to caption
(a) Morphology Perturbation
Refer to caption
(b) min Q perturbation
Figure 5: Evaluation results of IGDF under morphology and min Q perturbations with different sizes of target domain data.

E.2 Evaluation under Morphology Shifts

Table 2: Evaluation results with train-time morphology shifts. half=halfcheetah, hopp=hopper, walk=walker2d, m=medium, me=medium-expert, mr=medium-replay, e=expert. We report the normalized score evaluated in the target domain, and ±\pm captures the standard deviation across 5 seeds. We bold the highest scores for each task.
Dataset IQL\text{IQL}^{\star} CQL\text{CQL}^{\star} BOSA DARA IGDF OTDF DROCO (Ours)
half-m 45.8 40.2 41.3 45.6 45.5±\pm0.1 44.3±\pm0.2 45.8±\pm0.2
half-mr 26.1 21.3 27.8 28.9 24.2±\pm3.3 19.7±\pm2.5 27.9±\pm4.4
half-me 63.0 54,6 44.4 59.2 61.9±\pm 4.9 42.9±\pm3.6 70.1±\pm5.6
half-e 65.2 66.7 78.6 55.4 56.0±\pm6.2 74.2±\pm5.0 79.2±\pm3.9
hopp-m 56.4 32.8 28.7 49.5 55.5±\pm2.9 49.1±\pm2.2 56.3±\pm1.6
hopp-mr 51.3 37.6 40.6 53.5 54.9±\pm5.8 24.9±\pm3.4 51.6±\pm8.7
hopp-me 35.8 36.6 20.2 38.2 43.3±\pm3.6 51.8±\pm3.9 82.3±\pm4.1
hopp-e 87.2 67.9 64.3 77.1 51.5±\pm2.9 113.2±\pm5.9 92.5±\pm1.2
walk-m 32.6 43.1 40.3 25.0 33.0±\pm2.3 40.3±\pm7.1 60.1±\pm3.4
walk-mr 9.0 2.0 2.9 6.9 9.5±\pm0.4 14.1±\pm1.8 15.5±\pm4.7
walk-me 27.6 22.4 46.7 42.2 75.7±\pm11.8 66.7±\pm5.3 78.9±\pm9.4
walk-e 103.4 79.0 30.2 102.7 108.3±\pm6.7 103.5±\pm1.9 104.5±\pm1.7
ant-m 89.1 57.3 36.1 96.4 91.6±\pm4.4 92.5±\pm2.7 94.5±\pm2.8
ant-mr 59.7 39.5 24.0 64.1 58.2±\pm7.1 69.6±\pm8.1 66.9±\pm4.9
ant-me 113.1 107.3 100.5 111.9 116.8±\pm3.5 107.3±\pm4.4 120.3±\pm1.5
ant-e 116.3 94.4 76.3 124.5 126.8±\pm1.7 111.0±\pm2.4 120.0±\pm1.3
Total 981.6 802.7 702.9 981.1 1012.7 1025.1 1166.4

In the main text, we present DROCO’s evaluation results under kinematic shifts. In this section, we supplement with additional results under morphological shifts, providing a comprehensive assessment of DROCO’s train-time robustness against diverse dynamics shifts.

Experimental Settings. The target domain tasks and datasets remain consistent with Section 5.1: the target domain tasks include halfcheetah-v2, hopper-v2, walker2d-v2 and ant-v3, and the target domain datasets comprise four data qualities (medium, medium-replay, medium-expert, expert) for each task. The difference lies in the dynamics shift type in the source domain. We implement morphology shifts as described in Appendix C.3 and collect the corresponding source domain datasets.

Baselines. We adopt the same baselines as in Section 5.1: IQL\text{IQL}^{\star}, CQL\text{CQL}^{\star}, BOSA, DARA, IGDF and OTDF.

Results. We run each baseline and DROCO for 1M steps over 5 random seeds, and present the results with train-time morphology shifts in Table 2. It is clear that DROCO delivers superior performance to baselines. Specifically, DROCO achieves the highest performance in 9 out of 16 tasks. In terms of the total normalized score across all 16 tasks, DROCO attains a remarkable 1166.4, significantly outperforming the second-best baseline OTDF (1025.1). Combined with the results in Section 5.1, these findings conclusively demonstrate DROCO’s superiority across different types of dynamics shifts, highlighting its strong train-time robustness against dynamics shifts.

E.3 Extended Evaluation under Dynamics Perturbations

In this section, we supplement with more experimental results for evaluating the test-time robustness of DROCO.

We first extend the results in Section 5.2 by incorporating a broader range of datasets. We evaluate the robustness of DROCO against two baselines (IGDF, OTDF) under varying levels of three perturbation types: kinematic, morphology, and min Q perturbations, following the methodology in Section 5.2. Additional experiments are conducted using hopper-morph-expert, walker2d-kinematic-expert, and ant-morph-expert as source domain datasets, with results presented in Figure 6. We can see that DROCO demonstrates superior robustness to all three perturbation types compared to the baselines. For instance, on the walker2d-kinematic-expert dataset under min Q perturbations, DROCO exhibits only 23.4%23.4\% performance degradation (from 106.0 to 81.2) at the highest perturbation level (0.2), substantially lower than IGDF (75.3%75.3\%) and OTDF (55.9%55.9\%). This enhanced robustness is consistently observed across all datasets and perturbation types, confirming DROCO’s improved test-time robustness against dynamics perturbations.

We further evaluate DROCO’s test-time robustness using varying target domain dataset sizes. Experiments are conducted under different levels of min Q perturbations, with target domain sizes set to 100%100\%, 50%50\%, and 10%10\% of the original D4RL datasets. The source domain datasets comprise hopper-morph-expert, walker2d-kinematic-expert, and ant-morph-expert. As shown in Figure 7, all methods demonstrate improved robustness against dynamics perturbations with increasing target domain data size, consistent with our claim in Section 3. Notably, DROCO maintains superior robustness across varying data sizes and perturbation scales compared to IGDF and OTDF, further validating its effectiveness in enhancing test-time robustness.

Refer to caption
Figure 6: Evaluation results under different types and levels of dynamics perturbations.
Refer to caption
Figure 7: Evaluation results under different perturbation levels and different data sizes.

E.4 Ablation Study

We provide supplementary ablation study results that are omitted from the main text. Specifically, we examine the effects of replacing the adaptive value penalty with a fixed value penalty and substituting the Huber loss with the regular 2\ell_{2} loss.

Fixed Value Penalty. A fixed value penalty corresponds to setting β=1.0\beta=1.0 across all tasks. Figure 8 compares the performance of DROCO with dynamic versus fixed penalties across eight datasets. The results demonstrate that the dynamic value penalty generally outperforms the fixed penalty (β=1.0\beta=1.0), except the ant-morph-expert dataset where the fixed penalty achieves the highest performance.

We further evaluate the test-time robustness of DROCO under diverse dynamic shifts using both penalty schemes. Following the experimental setup in Appendix E.3, our results in Figure 9 reveal an interesting trade-off: while the fixed value penalty leads to slightly degraded performance, it provides marginally improved robustness against dynamic perturbations. This suggests that setting β\beta to a larger value induces a more conservative policy that is less sensitive to dynamic perturbations, albeit at the cost of policy performance.

Regular 2\ell_{2} Loss. The standard 2\ell_{2} loss implements conventional Bellman updates for source domain data without special outlier handling. We evaluate DROCO’s performance on 8 medium-expert datasets comparing the Huber loss versus the 2\ell_{2} loss and present the results in Figure 10. The results show that Huber loss generally produces superior performance, while 2\ell_{2} loss achieves marginally better results on halfcheetah-morph-me and walker2d-kine-me datasets.

We further examine the test-time robustness against dynamic perturbations using both loss functions. Figure 11 reveals that using Huber loss consistently provides stronger robustness across perturbation types, underscoring its critical role in enhancing robustness.

Refer to caption
Figure 8: Ablation study on value penalty
Refer to caption
Figure 9: Ablation study on value penalty
Refer to caption
Figure 10: Ablation study on Huber loss
Refer to caption
Figure 11: Ablation study on Huber loss

E.5 Extended Parameter Study

In the main text, we test the sensitivity of DROCO to the penalty coefficient β\beta and the transition threshold δ\delta on certain datasets. In this section, we present extended results for a more comprehensive analysis.

Penalty coefficient β\beta. β\beta controls the intensity of the value penalty. We sweep β\beta across {0.1,0.5,1.0,1.2}\{0.1,0.5,1.0,1.2\} and further conduct experiments on walker2d-morph-expert and ant-morph-expert datasets. We present the learning curves of the performance and the Q value in Figure 12. We find that β1.0\beta\leq 1.0 is generally preferred, yielding better performance and Q value convergence, while setting β=1.2\beta=1.2 would cause value underestimation and inferior performance.

Transition threshold δ\delta. δ\delta determines the transition point from 2\ell_{2} loss to 1\ell_{1} loss. We vary δ\delta among {5,10,30,50}\{5,10,30,50\} and conduct experiments on walker2d-morph-me and ant-morph-me datasets, with Figure 13 showing the performance and Q value learning curves. Our results demonstrate dataset-dependent sensitivity to δ\delta: while δ=50\delta=50 exhibits a satisfying performance and δ=5\delta=5 yields suboptimal performance on walker2d-morph-me, DROCO is not sensitive to δ\delta on ant-morph-me. Since no single δ\delta value universally outperforms across all tasks, we specify the δ\delta values used for each dataset in Appendix F.

Ensemble size NN. We also examine the effect of the dynamics model ensemble size NN on training. In DROCO, NN represents the sampling number within the uncertainty set. Typically, a larger NN corresponds to a smaller sampling error when computing 𝒯^RCB\widehat{\mathcal{T}}_{\mathrm{RCB}}. We conduct experiments on various datasets with NN across {3,5,7,9}\{3,5,7,9\}. The results are presented in Table 3, where we find no distinct difference across different NN, which means the ensemble size is not a sensitive hyperparameter. Thus, we could use the default value of 7.

Refer to caption
Figure 12: Effect of β\beta
Refer to caption
Figure 13: Effect of δ\delta
Table 3: Effect of NN
Dataset N=3N=3 N=5N=5 N=7N=7 N=9N=9
half-me-kinematic 58.4 ±\pm 4.4 62.2 ±\pm 8.6 60.1 ±\pm 7.1 57.9 ±\pm 9.6
half-me-morph 65.4 ±\pm 8.4 71.7 ±\pm 5.9 70.1 ±\pm 5.6 74.9 ±\pm 3.3
half-e-kinematic 68.7 ±\pm 6.8 67.0 ±\pm 4.7 67.4 ±\pm 5.8 66.3 ±\pm 7.2
half-e-morph 76.0 ±\pm 4.1 75.6 ±\pm 5.1 79.2 ±\pm 3.9 78.4 ±\pm 3.0
hopper-me-kinematic 51.7 ±\pm 3.4 54.4 ±\pm 5.7 54.0 ±\pm 6.4 52.5 ±\pm 6.9
hopper-me-morph 85.6 ±\pm 6.7 84.9 ±\pm 5.5 82.3 ±\pm 4.1 83.2 ±\pm 4.0
hopper-e-kinematic 88.3 ±\pm 10.2 87.0 ±\pm 8.1 89.3 ±\pm 9.6 86.9 ±\pm 7.2
hopper-e-morph 91.1 ±\pm 1.0 94.9 ±\pm 2.2 92.5 ±\pm 1.2 90.7 ±\pm 0.8
Average 73.2 74.7 74.4 73.9

E.6 Performance Comparison under Observation and Reward Shifts

In this part, we further examine the generality of DROCO under observation and reward shifts, in addition to dynamics shifts.

Observation shift. To simulate the observation shift, we follow the observation corruption setting in (Yang et al., 2024b), and corrupt 30%30\% source domain data by modifying the state of transitions (s,a,r,s)(s,a,r,s^{\prime}) to s^=s+λstd(s),λUniform[1,1]ds\hat{s}=s+\lambda\cdot\mathrm{std}(s),\lambda\sim\mathrm{Uniform}[-1,1]^{d_{s}}. dsd_{s} represents the state dimension, and std(s)\mathrm{std}(s) is the dsd_{s}-dimensional standard deviation of all states in the source dataset. Our experiments consist of two parts: (1) we directly employ several baselines (IQL, IGDF, OTDF) and DROCO in this observation shift setting without introducing other techniques; (2) we introduce the observation normalization technique (Yang et al., 2024b) to baselines and DROCO. Both parts of the experiments are conducted on multiple datasets, with results presented in Table 4 and Table 5. We find that introducing observation shifts would degrade the algorithm’s performance, and the observation normalization technique can mitigate performance degradation. In both experimental settings, DROCO demonstrates better performance than baselines on most datasets.

Table 4: Performance comparison under observation shifts without observation normalization.
Dataset IQL IGDF OTDF DROCO
half-e-kinematic 21.7±\pm6.2 13.4±\pm2.0 28.6±\pm3.4 34.7±\pm5.8
half-e-morph 43.3±\pm9.5 33.8±\pm5.8 46.4±\pm8.3 40.8±\pm5.5
half-me-kinematic 38.9±\pm4.4 40.0±\pm4.6 37.5±\pm6.2 46.3±\pm9.3
half-me-morph 37.2±\pm4.1 45.3±\pm5.4 33.7±\pm4.0 43.4±\pm6.8
hopper-e-kinematic 34.6±\pm6.4 43.5±\pm4.8 36.2±\pm7.9 48.6±\pm7.4
hopper-e-morph 60.6±\pm4.5 32.3±\pm4.9 53.9±\pm11.5 62.9±\pm8.7
hopper-me-kinematic 1.4±\pm0.1 0.0±\pm0.0 16.9±\pm3.1 20.3±\pm7.4
hopper-me-morph 16.7±\pm2.3 22.7±\pm4.0 31.4±\pm5.7 36.5±\pm6.8
Average 31.8 28.9 35.6 41.7
Table 5: Performance comparison under observation shifts with observation normalization.
Dataset IQL IGDF OTDF DROCO
half-e-kinematic 26.5±\pm4.7 21.4±\pm5.0 33.8±\pm6.1 42.6±\pm7.1
half-e-morph 42.7±\pm7.0 42.5±\pm5.7 51.9±\pm4.4 44.6±\pm7.4
half-me-kinematic 41.2±\pm5.2 35.5±\pm2.9 44.3±\pm2.9 51.3±\pm3.6
half-me-morph 46.4±\pm3.6 49.2±\pm6.0 45.6±\pm3.3 43.0±\pm2.1
hopper-e-kinematic 39.6±\pm7.3 57.8±\pm6.2 49.3±\pm5.7 54.4±\pm9.3
hopper-e-morph 66.3±\pm6.9 38.5±\pm3.7 57.7±\pm4.0 73.2±\pm6.2
hopper-me-kinematic 9.0±\pm1.3 2.4±\pm0.1 22.2±\pm3.4 34.2±\pm5.6
hopper-me-morph 16.4±\pm2.4 29.7±\pm3.0 26.7±\pm1.1 46.6±\pm8.2
Average 36.0 34.6 41.4 48.7

Reward shift. To examine the generality of DROCO to reward shifts, we further design a reward shift setting: we randomly select 30% of source transitions (s,a,r,s)(s,a,r,s^{\prime}) and modify the reward rr to r^Uniform[1,1]\hat{r}\sim\mathrm{Uniform}[-1,1]. That is, we completely abandon the reward information and switch to random rewards.

Under this reward shift setting, we conduct experiments on multiple datasets to compare the performance of DROCO with baseline methods (IQL, IGDF, OTDF). The experimental results are reported in Table 6. Surprisingly, we find that reward shift does not significantly affect performance. This observation may be explained by the survival instinct of offline RL (Li et al., 2023), which suggests that offline RL naturally exhibits robustness to misspecified reward.

The results show that DROCO still outperforms other baselines under both reward shift and dynamics shift settings. We attribute the enhanced performance of DROCO under observation and reward shifts to the components of dynamic value penalty and Huber loss which mitigate value estimation error caused by observation and reward shifts. We believe this finding, along with our above results under the observation shift setting, demonstrates the generality of DROCO across observation, reward, and dynamics shift.

Table 6: Performance comparison under reward shifts.
Dataset IQL IGDF OTDF DROCO
half-e-kinematic 47.5±\pm4.2 45.8±\pm3.0 72.2±\pm3.8 66.0±\pm6.3
half-e-morph 60.7±\pm5.3 52.2±\pm3.6 70.3±\pm5.8 76.4±\pm4.2
half-me-kinematic 41.1±\pm3.7 55.2±\pm4.4 43.6±\pm4.9 57.4±\pm3.6
half-me-morph 61.7±\pm2.1 55.8±\pm4.9 39.0±\pm3.3 63.9±\pm2.4
hopper-e-kinematic 58.8±\pm6.1 67.0±\pm5.7 95.5±\pm11.3 85.0±\pm8.2
hopper-e-morph 84.7±\pm5.1 46.2±\pm4.8 100.3±\pm6.8 91.4±\pm4.5
hopper-me-kinematic 10.1±\pm1.3 8.3±\pm0.7 42.6±\pm6.3 48.1±\pm6.4
hopper-me-morph 34.8±\pm4.3 41.1±\pm4.7 47.3±\pm5.6 78.6±\pm8.3
Average 49.9 46.5 63.9 70.9

E.7 Performance Comparison under Distinct Source and Target Behavior Policies

In practice, the behavior policies between the source and target domain datasets could be different. To address this concern, We consider four tasks (halfcheetah, hopper, walker2d, ant) with kinematic shifts. We relax the constraint of identical behavior policies, allowing the source and target datasets to have different qualities (medium or expert). For instance, a medium-quality source dataset may be paired with either a medium- or expert-quality target dataset. All other experimental settings follow Section 5.1, with IQL, IGDF, and OTDF as baselines. The results are presented in Table 7. The results indicate that DROCO maintains its superiority over the baselines even when the source and target behavior policies differ. It achieves the highest average score (80.6) and best performance on 12 out of 16 datasets. These findings demonstrate the effectiveness of DROCO in scenarios with differing behavior policies.

Table 7: Performance comparison under distinct behavior policies between source and target domain datasets.
Source Target IQL IGDF OTDF DROCO
half-medium medium 45.2±\pm0.1 45.2±\pm0.1 42.2±\pm0.1 45.3±\pm0.2
half-medium expert 47.5±\pm1.1 45.4±\pm1.3 58.3±\pm2.8 52.6±\pm4.2
half-expert medium 47.1±\pm1.5 46.8±\pm2.4 51.7±\pm0.4 58.5±\pm0.3
half-expert expert 49.7±\pm3.6 47.6±\pm2.1 79.6±\pm3.0 67.4±\pm5.8
hopper-medium medium 48.8±\pm2.1 54.3±\pm6.6 46.3±\pm3.7 55.4±\pm5.3
hopper-medium expert 56.1±\pm4.4 61.8±\pm4.4 69.3±\pm3.9 80.8±\pm6.2
hopper-expert medium 53.6±\pm2.4 61.3±\pm4.7 51.4±\pm2.1 62.2±\pm4.6
hopper-expert expert 62.6±\pm6.9 70.1±\pm3.2 97.0±\pm3.3 89.3±\pm9.6
walker2d-medium medium 48.7±\pm1.9 51.8±\pm2.4 43.0±\pm2.1 70.8±\pm3.3
walker2d-medium expert 71.4±\pm3.7 82.5±\pm5.3 76.8±\pm4.1 94.6±\pm5.8
walker2d-expert medium 55.4±\pm3.1 58.6±\pm5.5 57.9±\pm2.0 83.0±\pm4.8
walker2d-expert expert 90.1±\pm3.2 93.7±\pm5.8 98.9±\pm2.1 106.0±\pm0.8
ant-medium medium 89.9±\pm5.1 88.0±\pm4.6 86.1±\pm3.7 92.7±\pm6.3
ant-medium expert 107.6±\pm1.8 112.4±\pm3.3 105.9±\pm2.3 110.3±\pm2.0
ant-expert medium 93.7±\pm3.5 90.2±\pm2.8 98.6±\pm4.5 100.4±\pm2.3
ant-expert expert 111.0±\pm3.3 119.2±\pm5.6 111.6±\pm2.9 120.0±\pm2.1
Average 67.4 70.6 73.4 80.6

Appendix F Hyperparameter Setup

In this section, we provide the detailed hyperparameter setup for DROCO in our experiments. In Table 8, we list the network architecture and the training setup of DROCO, as well as the main hyperparameters of IQL, since we utilize IQL for policy optimization. The distinct value of β\beta and δ\delta for each dataset under kinematic shifts and morphology shifts are presented in Table 10 and Table 10.

Table 8: Hyperparameter setup for DROCO
Hyperparameter Value
Network
Actor network (256, 256)
Critic network (256, 256)
Ensemble model network (400,400,400,400)
Ensemble size 7
Activation function ReLU (Agarap, 2018)
Training
Learning rate 3×1043\times 10^{-4}
Optimizer Adam (Kingma and Ba, 2014)
Discount factor 0.99
Target update rate 5×1035\times 10^{-3}
Source domain batch size 128
Target domain batch size 128
Dynamics model batch size 256
Dynamics model training steps 1×1051\times 10^{5}
Policy training steps 1×1061\times 10^{6}
IQL
Temperature coefficient 0.2
Maximum log std 2
Minimum log std -20
Inverse temperature parameter β\beta 3.0
Expectile parameter τ\tau 0.7
Table 9: Detailed hyperparameter setup for DROCO, where the source domain datasets are under kinematic shifts.
Dataset Value of β\beta Value of δ\delta
half-m 0.1 30
half-mr 0.5 50
half-me 0.5 30
half-e 0.1 30
hopp-m 0.1 50
hopp-mr 0.5 50
hopp-me 1.0 30
hopp-e 0.5 30
walk-m 1.0 50
walk-mr 0.5 30
walk-me 0.5 50
walk-e 0.1 10
ant-m 0.1 30
ant-mr 1.0 30
ant-me 0.1 30
ant-e 1.0 30
Table 10: Detailed hyperparameter setup for DROCO, where the source domain datasets are under morphology shifts.
Dataset Value of β\beta Value of δ\delta
half-m 0.1 10
half-mr 0.5 50
half-me 1.2 30
half-e 1.2 30
hopp-m 0.5 50
hopp-mr 0.1 50
hopp-me 0.1 10
hopp-e 0.1 10
walk-m 0.1 50
walk-mr 0.5 50
walk-me 0.1 10
walk-e 0.1 10
ant-m 0.1 30
ant-mr 0.1 30
ant-me 0.1 10
ant-e 1.0 30

Appendix G Compute Infrastructure

The compute infrastructure we use for all experiments is listed in Table 11.

Table 11: Compute Infrastructure
CPU GPU Memory
AMD EPYC 7452 RTX3090×\times8 288GB

Appendix H Time Cost

We list the training time of DROCO and all baselines (IQL\text{IQL}^{\star}, CQL\text{CQL}^{\star}, BOSA, DARA, IGDF, OTDF) for 1M training steps in Table 12. We note that the additional time cost for DROCO mainly comes from the training of the ensemble dynamics model. However, since we can save the trained dynamics model weights, no retraining is required for subsequent experiments.

Table 12: Training time comparison between various methods. h=hour(s), m=minute(s).
IQL\text{IQL}^{\star} CQL\text{CQL}^{\star} BOSA DARA IGDF OTDF DROCO
5h24m 10h22m 5h49m 6h13m 6h56m 9h17m 7h26m

Appendix I Broader Impacts

This paper presents a method aimed at enhancing dual robustness against dynamic shifts in cross-domain offline RL. Our work has potential positive social impacts; for example, it could inspire the development of humanoid robots capable of robust performance in non-stationary environments. Currently, we have not identified any negative impacts of our research.

Appendix J Declaration on LLM Use

In this work, LLMs are used solely for grammar polishing of an early draft and are excluded from core aspects of the research, such as method conception, theoretical proof, and experimental work.