Abstract
We consider the hydrodynamics of the outer core of a neutron star under conditions when both neutrons and protons are superfluid. Starting from the equation of motion for the phases of the wave functions of the condensates of neutron pairs and proton pairs, we derive the generalization of the Euler equation for a one-component fluid. These equations are supplemented by the conditions for conservation of neutron number and proton number. Of particular interest is the effect of entrainment, the fact that the current of one nucleon species depends on the momenta per nucleon of both condensates. We find that the nonlinear terms in the Euler-like equation contain contributions that have not always been taken into account in previous applications of superfluid hydrodynamics. We apply the formalism to determine the frequency of oscillations about a state with stationary condensates and states with a spatially uniform counterflow of neutrons and protons. The velocities of the coupled sound-like modes of neutrons and protons are calculated from properties of uniform neutron star matter evaluated on the basis of chiral effective field theory. We also derive the condition for the two-stream instability to occur.
1. Introduction
The outer core of a neutron star consists of a uniform fluid of neutrons, protons, and electrons, with possibly other minority constituents. The hydrodynamics of the core of a neutron star is important for studies of a variety of phenomena, among them stellar oscillations (Mendell 1991; Lindblom & Mendell 1994, 2000; Andersson & Comer 2001), collective modes of matter (Epstein 1988; Bedaque & Reddy 2014), and theories of spin-down and glitches in the rotation rate of neutron stars (for a review, see Haskell & Melatos 2015). From microscopic calculations, protons are expected to be superconducting in the outer core, while the situation for neutrons is less clear because of the difficulty of calculating superfluid gaps at such densities with confidence. In this paper we shall consider the case when the protons are superconducting and the neutrons superfluid.
The purpose of this paper is to derive the equations governing the long-wavelength, low-frequency behavior of the system. We shall assume that thermal effects may be neglected: typical temperatures in neutron stars are of order 108 K or 10 keV, which is small compared with the Fermi energies of the components, which are of order 100 MeV. We shall further assume that the superfluid gaps are large compared with the thermal energy kBT, where kB is the Boltzmann constant and T the temperature. The basic variables in the approach we shall adopt are the density of neutrons, the density of protons, and the phases of the condensate wave functions of pairs of neutrons and pairs of protons. This leads naturally to a description of the dynamics in terms of the gradients of the phases, which correspond to the momentum per particle of the condensates. We shall show that this approach leads straightforwardly to equations for the dynamics, including nonlinear terms, which agree with the work of Mendell (1991).
Of particular interest in this paper is the influence of entrainment, the fact that there is a coupling between the currents of the two components. To make the exposition as clear as possible, we shall derive the equations of motion by pedestrian methods. We shall then show how they may be obtained from a Hamiltonian approach that exploits the fact that the phase of the condensate wave function of a component is the canonically conjugate variable to the density of that component (Lifshitz & Pitaevskii 1980). A particular focus of the work is to generalize the Euler equation for a one-component fluid to a two-component system, and we shall show that, in the Euler equations, there are contributions in the nonlinear terms in the Euler-like equations that have not always been considered in past applications, although they are implicit in the basic formalism (see, e.g., Mendell 1991). These arise because the quantity determining the degree of entrainment is a function of the densities of the two components. A preliminary report of many of the results in this article was given by Kobyakov et al. (2015).
This article is arranged as follows. The basic formalism is described in Section 2, where we work in terms of the phases of the wave functions for the neutron and proton pair condensates, and the neutron and proton number densities. The equations of motion for the phases are described by a Josephson equation and that of the nucleon densities by continuity equations. Because of entrainment, the neutron number current depends not only on the gradient of the phase of the neutron condensate but also on the phase of the proton condensate, and similarly for the proton current. In addition, entrainment affects the chemical potentials of nucleons. The specific form of the Euler-like equations for the momentum per particle of the condensates is derived in Section 3. Collective modes of oscillation about an initial situation where the condensates are stationary and the densities uniform are considered in Section 4. There we also investigate small deviations from a state with a uniform counterflow of neutrons and protons. Applications to the outer core of a neutron star are described in Section 5, where we calculate collective mode velocities. Section 6 contains a general discussion of, among other things, the relationship between our work and some earlier work on superfluid hydrodynamics.
2. Basic Formalism
We shall consider long-wavelength, low-frequency phenomena, in which local charge neutrality is maintained and electrical currents are absent. This is a good approximation for frequencies that are small compared with the electron plasma frequency and for wavelengths long compared with the Debye screening length for electrons. Moreover, the hydrodynamic approximation implies that the frequency is smaller than the inverse of the electron relaxation time due to electron–electron collisions. We shall also neglect dissipation due to Landau damping of the electron motion, which will be treated elsewhere (D. Kobyakov et al. 2016, in preparation). Under these conditions, the system behaves as a two-component system, one component being the neutrons and the other the protons and electrons. Throughout we shall work in an inertial frame of reference, and therefore the centrifugal and Coriolis forces will not appear explicitly. We denote the phase of the superfluid order parameter for neutrons by
and that for protons by
. To first order in the gradients of the phases, one may write the number current density of neutrons as

and that for protons as

where
is the momentum per particle associated with the condensate, and the response functions
generally depend on the density of neutrons, nn, and the density of protons, np, but are independent of the gradients of the phases. Which mass is inserted in these equations is arbitrary, but the choice of the nucleon mass m makes for simple expressions later in the analysis. To avoid inessential complications, we shall neglect the difference between the neutron and proton masses. The quantity
is the long-wavelength limit of the zero-frequency neutron-current-density–proton-current-density response function, and it is symmetrical in the indices α and β.
We shall assume that characteristic times for weak interaction processes are long compared with the timescales of the motions, and therefore the numbers of neutrons and of protons are separately conserved. The continuity equation is therefore

for neutrons and

for protons. A separate continuity equation for electrons is not required, since the electron number density and current density are the same as those of the protons.
We are interested in situations where spatial variations are slow. To determine how the phase of a state varies in time, we may therefore consider states in which the densities of neutrons and protons are uniform and the gradients of the phases are uniform. The equations of motion for the phases may be obtained by making use of the fact that in a state with energy
the wave function varies in time as
. In terms of the ground states
of the system with Np protons and Nn neutrons, the superfluid order parameter for neutrons is

where
is the annihilation operator for a neutron of spin σ.6
We remark that the energies of the states are also functions of the gradients of phases of the superfluid order parameters. The quantity
is twice the neutron chemical potential including the contribution due to motion of the components, which we denote by
.7
From Equation (5) we conclude that

which is essentially Josephson’s equation (see, e.g., Varaquaux 2015). In this article, we shall include in the calculations terms of second order in
, and therefore we need the Hamiltonian to this order. In the Hamiltonian formalism, the current density is given by

where
is the Hamiltonian, H being the Hamiltonian density.
It follows from Equations (1) and (2) that the “kinetic”8 contribution to the Hamiltonian density is9


The final term in Equation (9) represents the effects of entrainment of the motions of the two fluids.
In the hydrodynamic description of a one-component fluid, the quantity
is commonly referred to as the velocity potential, since the fluid velocity is
. However, we see from the considerations above that, in multicomponent systems, the phases
are more properly regarded as momentum potentials, since the momentum per particle of species α in the condensate is
.
The remaining contribution to the Hamiltonian density is the energy density of the system in the absence of gradients of the phases, which we denote by
. Thus the Hamiltonian density is

The equations of motion for the phases are therefore

and

where

are the neutron and proton chemical potentials when the phases of the condensates do not vary in space.10
Since we consider matter that is electrically neutral, the quantity
is the energy to add an electron and a proton, but, for notational simplicity, we do not indicate this explicitly.
Quite generally, the equations of continuity for neutrons and for protons have the form

and

The neutron density and the phase of the neutron condensate are conjugate variables, and these results also follow from the Hamilton equation,
, with the expression for the current given in Equation (1).11
Similar results hold for the protons. In the Hamiltonian formalism, the “coordinates” and “momenta” are to be regarded as independent variables. Consequently, the derivatives on the right-hand sides of Equations (11) and (12) are to be evaluated at fixed
and
.
The basic thermodynamic identity at zero temperature may thus be written as

where the energy density
and the chemical potentials
all include kinetic contributions.
The velocities of the components are defined by

and therefore it follows from Equations (1) and (2) that

For a Galilean-invariant system, there are relationships between the
(Mendell 1991; Borumand et al. 1996). Under a transformation to a frame moving with respect to the original frame by a velocity
, the phases
are increased by an amount
. Consequently, the current density of neutrons is increased by an amount
. However, from Galilean invariance, the change in the neutron current density is
, and therefore

Similarly, by considering the proton current density, one finds

Therefore Equation (9) may be written as

3. Euler Equations
The generalizations of Euler’s equation for a single-component fluid to the two-fluid case are obtained by taking the gradient of Equations (11) and (12) and have the form

and

since
. We may write the terms nonlinear in the
in Equations (22) and (23) by using the vector identity
. Since in this article we shall consider only situations in which there are no singularities in the flow, we may put
everywhere, and therefore

and

An interesting point is that the additional contribution to the nonlinear terms in the generalization of Euler’s equation is proportional to derivatives of nnp, a feature already present in the work of Mendell (1991, Equations (14), (15), (29), and (30)).
Equations (24) and (25) may be expressed in terms of the velocities of the components, but the resulting equations are lengthy because of the numerous places where density derivatives of nnp appear. In the Appendix we show that the Euler-like equations in some earlier work do not agree with Equations (22) and (23).
4. Collective Modes
4.1. Linear Modes
We first consider the frequencies of modes corresponding to small deviations from the situation in which both superfluids are at rest (
). For a disturbance
, the perturbations of
must be in the direction of
, and Equations (14), (15), (24), and (25) when linearized may be written in the matrix form

where
is the phase velocity of the wave. The mode frequencies are determined from the zeros of the determinant of the matrix:

or

where

Equation (28) is a generalization of the result of Bedaque & Reddy (2014) to allow for entrainment. In the absence of coupling between neutrons and the charged particles (
,
,
, and
), the mode velocities are given by

for the neutrons and

for the charged particles.
One sees from Equation (28) that mode frequencies become imaginary if
or
becomes negative. The first condition corresponds to an instability to formation of a density wave with proton and neutron densities in phase for
and out of phase for
. Generalizations of this result to finite wavelengths have previously been employed to obtain estimates of the density at which the transition between uniform matter at higher densities and inhomogeneous matter in the crust occurs (Baym et al. 1971; Hebeler et al. 2013). The condition
signals an instability to counterflow of the two components, but, as we shall see in Section 5.3, this is not expected to occur in the outer core of a neutron star.
4.2. Two-stream Instability
We now consider small perturbations about a state in which the densities are uniform and the gradients of the phases are also uniform with values
and
. On linearizing Equations (14), (15), (34), and (35), one finds




where
and
. On physical grounds one expects the most unstable mode to be one in which the wave vector, and therefore also the velocity perturbations, are parallel to
. For that case, Equations (32), (33), (34), and (35) may be written in the matrix form.

The mode frequencies are given by the condition that the determinant of the matrix in Equation (36) vanish. This result is a generalization to allow for entrainment of the results of Andersson et al. (2004). Equation (36) illustrates the fact that, in nonlinear problems, density derivatives of nnp occur, as well as nnp itself.
5. Applications to the Outer Core
5.1. Equation of State
The equation of state that we use is based on chiral effective field theory (EFT), in which the symmetries associated with QCD are built into an effective Hamiltonian for nucleons (Epelbaum et al. 2009). The parameters of the theory are determined from nucleon–nucleon scattering and other low-energy nuclear data. The particular version of the theory that we shall use is that of Hebeler et al. (2013), in which an analytic fit is made to calculations for pure neutron matter and symmetric nuclear matter and an interpolation is made for proton fractions
intermediate between the two proton fractions x = 0 and
for which microscopic calculations have been made. Here

is the total density of nucleons. The nuclear part of the energy per particle (without electrons) is given by Hebeler et al. (2013):

and the values of the parameters are
, n0 = 0.16 fm−3 is the saturation density of symmetric nuclear matter,
,
,
, and
.
This form is expected to be a reasonable approximation for baryon densities in the range
. The energy density is the sum of the nucleon energy density and the electron contribution:

In the formalism described above, it is assumed that the number of neutrons and the number of protons are conserved. This is a good approximation when the timescales of interest in the motions are short compared with the timescale for weak interactions. We have made no assumption about the ratio of neutrons to protons, but in the numerical calculations we shall concentrate on the case of matter in beta equilibrium, which should be a good first approximation for most of the life of a neutron star. The condition for beta equilibrium is that
(Baym et al. 1971), which, with the neglect of the difference between the neutron and proton masses, gives

where
is the electron chemical potential, which for ultrarelativistic degenerate electrons is

Bulk matter is electrically neutral, and therefore

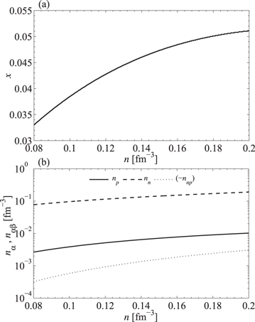
The equilibrium value of the proton fraction calculated from Equations (38) and (40) is shown in Figure 1(a).
Figure 1. Equilibrium proton fraction and nucleon number densities calculated from the equation of state of Hebeler et al. (2013). (a) Proton fraction in beta equilibrium as a function of nucleon number density, calculated from Equations (38) and (40). (b) Equilibrium values of the nucleon densities nn and np. Also shown are results for nnp calculated from Landau Fermi-liquid theory with the Skyrme interaction SLy4 (see Equation (53)).
Download figure:
Standard image High-resolution imageFor convenience, nucleon densities for matter in beta equilibrium are plotted as functions of baryon density in Figure 1(b).
5.2. Thermodynamic Derivatives
The second derivatives of the energy density E,

determine observable properties such as sound speeds. From Equation (39) it follows that



We express derivatives with respect to particle density in terms of the variables n and x by using the relationships


The results for the derivatives
obtained from Equations (44)–(46) and (38) are plotted in Figure 2. The quantity Epp has contributions from both protons and electrons, and we show the difference between Epp and the contribution from electrons, which in the absence of screening is
. One sees that the electronic contribution to Epp is dominant.
Figure 2. Thermodynamic derivatives
and
, the electronic contribution to Epp, for baryon densities in the outer core. The equation of state is taken from Hebeler et al. (2013).
Download figure:
Standard image High-resolution image5.3. Entrainment
In addition to interactions between the densities of the various components, there are also interactions between the flows of the two components, which are reflected in nonzero values of nnp, an effect often referred to as entrainment. In the outer core of neutron stars, pairing gaps are expected to be of order 1 MeV or less, while nucleon Fermi energies are one or two orders of magnitude larger. Thus pairing contributes little to the total energy, and one may use Landau’s theory of normal Fermi liquids to calculate nnp. Borumand et al. (1996) find

where
are the Fermi wave numbers of neutrons and protons, and f1np is the l = 1 component of the Landau parameter for the interaction between neutrons and protons. A general treatment of entrainment at nonzero temperature has been given by Gusakov & Haensel (2005).
Most microscopic calculations of Landau parameters for nuclear matter have been performed for either symmetric nuclear matter or for pure neutron matter (for recent examples see, e.g., Gambacurta et al. 2011 and Holt et al. 2012), and there is a need for further study of matter with proton fractions of
of interest for neutron star cores. An exception is the work of Chamel & Haensel (2006), who gave a general treatment of entrainment and made specific calculations for effective interactions of the Skyrme type. For the standard form of the Skyrme interaction (Chamel & Haensel 2006), Equation (23), the entrainment comes solely from the terms involving gradients of the wave function, and by direct calculation one finds

Therefore from Equations (49) and (50),

in the notation of Chamel & Haensel (2006), with

For the Skyrme interaction SLy4 developed especially for astrophysical applications,
fm5,
,
fm5, and
(Chabanat et al. 1998), and therefore

As Chamel & Haensel (2006) showed, the 27 Skyrme interactions recommended for astrophysical applications by Stone et al. (1998) give values for
between 0 and −10.4 fm3, while the Skyrme interactions developed by the Lyon group lead to values of around −1.5 fm3, with the exception of SLy230a, for which it is essentially zero. The wide range of values of nnp that Skyrme interactions predict underscores the need to pin down its value better from more fundamental considerations.
The conditions for stability to counterflow of the two components are that nnn, npp, and
are positive. If the third condition and one of the first two are satisfied, the remaining condition holds automatically. For the Skyrme interactions that have been considered above, nnp is negative, and therefore from Equations (19) and (20) it follows that the first two conditions hold. Since

the third condition also holds, and matter is stable to counterflow.
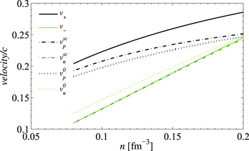
5.4. Collective Mode Frequencies
In Figure 3 we show results for the velocities of longitudinal collective modes. The velocities of modes in the absence of coupling between neutrons and protons are given by Equations (30) and (31), and the thermodynamic derivatives are taken from Section 5.2. The dashed lines
include the effects of Enp, but the effects of entrainment are neglected (
,
, and
). Finally, the full lines include both the effects of nonzero Enp and entrainment, Equation (28). Entrainment affects the charged-particle mode more than the neutron one since
is more than an order of magnitude larger than
. The hybridization of the charged-particle and neutron modes is relatively weak. When Enp is nonzero but the effects of entrainment are neglected, the velocity of the charged-particle mode is raised, while that of the neutrons is lowered. Entrainment has little effect on the velocity of the neutron mode but further raises that of the charged-particle mode.
Figure 3. Sound speeds v in the absence of counterflow in units of c obtained from Equation (28), as functions of the baryon number density (solid lines). The dotted lines correspond to the velocities in the absence of coupling between neutrons and protons, Equation (30) (lower curve) and Equation (31) (upper curve). The dot-dashed lines (
) show the results in the absence of entrainment (
). The modes corresponding to the three uppermost curves are dominated by the motion of charged particles, while the motion of neutrons is predominant in the modes corresponding to the three lowermost curves.
Download figure:
Standard image High-resolution imageIt is instructive to compare properties of the outer core with those of the inner crust, where the protons reside in nuclei. For the inner crust, values are taken from Kobyakov & Pethick (2016), who corrected a coding error in the paper of Kobyakov & Pethick (2013). These were based on the equation of state of Lattimer & Swesty (1991). In Figure 4 we plot values of the thermodynamic derivatives
for the inner crust and the outer core. Despite the different equations of state in the crust and the core regions, the values of
are rather similar at the crust–core boundary.
Figure 4. Thermodynamic derivatives
in the inner crust and outer core. The equations of state (EOS) used are indicated in the figure.
Download figure:
Standard image High-resolution imageSound speeds across the crust–core transition region in the star are shown in Figure 5. It is interesting to note that, while the
are almost continuous between the crust and the core, the sound speeds exhibit significant jumps. At the boundary, the charged-particle mode is about three times slower in the crust than in the core; this is because entrainment in the crust is much greater than in the core by about one order of magnitude, because in nuclei the number of neutrons entrained by a single proton is of the order of the neutron-to-proton ratio in nuclei, ∼10, at the inner boundary of the crust.
Figure 5. Speed of longitudinal sound-like modes in the inner crust and outer core of a neutron star as a function of baryon density. For the outer core, the results correspond to those in Figure 4. In the calculations for the inner crust, the neutron superfluid density was taken to be the density of neutrons outside nuclei. For the crust, the results are those of Kobyakov & Pethick (2016). The neutron mode (green line) tends to zero at the neutron drip density
. The left-hand vertical dotted line corresponds to the maximum density for which the assumption of spherical nuclei in the Lattimer–Swesty model is still valid (Kobyakov & Pethick 2013). The right-hand vertical line corresponds to the lower bound of density of uniform nuclear matter, below which it is unstable to formation of a density wave (Hebeler et al. 2013).
Download figure:
Standard image High-resolution image6. Discussion
In this paper we have generalized to a two-component fluid Euler’s equation for a single component. The approach we have adopted is based on the Josephson equation for the phases of the condensate wave functions of the nucleons and the continuity equations. This makes possible a direct derivation of the basic results. The nonlinear terms in the Euler-like equations have contributions proportional to density derivatives of the strength of the entrainment. These contributions do not affect small oscillations about a state in which the two fluids are at rest, but they do enter in, for example, the condition for the two-stream instability. These terms are implicit in the work of Mendell (1991), and they arise from the effects of entrainment on the nucleon chemical potentials.12
In some earlier treatments, the energy due to entrainment was regarded as part of an “internal energy” defined as the difference between the total energy and the kinetic energy in the absence of entrainment (Andersson et al. 2004; Prix 2004), but the approach presented here shows that it is natural to treat the energy due to entrainment as part of the “kinetic energy.” In this way it is made clear that the nucleon chemical potentials contain contributions proportional to derivatives of the entrainment energy density with respect to the neutron and proton densities. The thermodynamic potential appropriate when the system is specified by the number densities of neutrons and protons and the phases of the condensates is the Hamiltonian, that is, the total energy of the system, while its Legendre transform,

is the potential appropriate when the current densities are regarded as the variables. Here the matrix
is the inverse of the matrix with elements
. Numerically, the first term on the right-hand side of Equation (55) is equal to the kinetic energy, Equation (9).
Our calculations show that, in the generalizations of Euler’s equation to two-component superfluid hydrodynamics, first and second density derivatives of the entrainment function nnp appear. Nonlinear effects in superfluid hydrodynamics have been investigated in a number of different contexts (Prix et al. 2002; Andersson et al. 2004; Gusakov & Andersson 2006; Glampedakis et al. 2011; Haskell 2011; Link 2012; Passamonti & Lander 2013), and an important task for future work is to investigate to what extent results are altered by the nonlinear terms derived in the present article. It is also necessary to reexamine how the terms obtained from a Hamiltonian approach are reflected in the Lagrangian and hybrid approaches used in other work.
In this article, we have assumed that the flow is irrotational, in the sense that
and
vanish. We leave for future work the incorporation of electromagnetic fields, vortices, and rotating frames of reference. An additional direction for investigation is the effect of nonzero temperature, which results in the appearance of a normal fluid of excitations.
As applications, we have considered oscillations of uniform neutron star matter. We have generalized the treatment of the two-stream instability given by Andersson et al. (2004). To make realistic estimates of the conditions under which the two-stream instability can occur in neutron star cores, it is necessary to take into account damping: in particular, it is important to include pair-breaking processes that will set in at wave numbers of approximately
, where Δ is the superfluid gap of a component, vF its Fermi velocity, kF its Fermi wave number, and EF its Fermi energy. These wave numbers are much less than the respective Fermi wave numbers.
Velocities of sound-like modes in the outer core in the absence of counterflow have been calculated. In particular, we have generalized the discussion of Bedaque & Reddy (2014) to allow for entrainment, and we have used recent calculations of the equation of state to evaluate the thermodynamic derivatives. Extensions of this work to shorter wavelengths and to calculate damping of modes by the electrons will be reported elsewhere (D. Kobyakov et al. 2016, in preparation).
D.N.K. is grateful to Axel Brandenburg, Emil Lundh, Mattias Marklund, Lars Samuelsson, and the late Vitaly Bychkov for discussions during the early stages of this work. We have also enjoyed the hospitality of NORDITA in Stockholm, API in Amsterdam, ISSI in Bern, ECT* in Trento, and the Niels Bohr Institute in Copenhagen. This work was supported by the J. C. Kempe foundation, the Baltic Donation foundation, by a Nordita Visiting PhD fellowship, by ERC Grant 307986 Strongint, by the Swedish Research Council (VR), and by the Russian Fund for Basic Research grant 31 16-32-60023/15.
Appendix: Comparison with Earlier Work
The results of the present work agree with the work of Mendell (1991). Here we compare these results with those of other studies that are also based on Mendell’s work. In Andersson & Comer (2001) and Andersson et al. (2004), the Euler-like equation for the neutrons has the form

where the indices i and j refer to Cartesian coordinates, and the index
is to be summed over. Here

and we denote by
the chemical potential used in those papers, which is different from those employed in the present article. Comparison with the present work is simplified by observing that the combination
is what we denote by
. Equation (56) may therefore be written as

If the problem is one-dimensional, with all variations in the x direction, one finds

We now contrast this result with the one found from the present work. Equation (22) for the one-dimensional case reads

where we have made use of the relation

which follows from Equations (1), (2), and (17). The terms containing
in Equations (59) and (60) do not agree. We have been unable to find in the literature an explicit expression for
. If it is to be identified with the chemical potential in the absence of flows (what we denote by
), there is a conflict. There is too if it is identified with
, the chemical potential with the entrainment contribution but not that from the flow of the neutrons. Similar conclusions apply for the protons.
Footnotes
- 6
For simplicity we consider the case of an S-wave superfluid, where pairing is in a spin singlet state. For superfluids with anisotropic gaps, the pairing amplitude must be defined for particles with specified momenta.
- 7
Since the phase is proportional to the difference of the energies of ground states whose neutron numbers differ by 2, it is a smooth function of Nn and does not depend on whether Nn is odd or even.
- 8
We shall refer to as “kinetic” all contributions due to the motion of the components, including that due to entrainment.
- 9
In the literature, the symbol
is used to denote an average velocity in some places and the momentum per unit mass of the condensate particles in others. To avoid confusion, we shall generally work with
, the momentum per particle in the condensate. - 10
From the discussion after Equation (5) it follows that the derivative
must be regarded as the limit for small integer ν of
, where V is the volume of the system. Similar results apply for the proton chemical potential. Consequently, odd–even effects due to pair breaking do not enter in the derivatives. - 11
Strictly speaking, the conjugate variables are
and nα, but we shall generally work in units in which ℏ is equal to unity. - 12
The original work of Andreev & Bashkin (1976) on entrainment in the helium liquids did not mention explicitly the entrainment contributions to the chemical potentials. However, this had no influence on the applications described in that paper, which were to linear modes.








![$[{ \mathcal E }({N}_{n},{N}_{p})-{ \mathcal E }({N}_{n}-2\nu ,{N}_{p})]/2\nu V$](https://content.cld.iop.org/journals/0004-637X/836/2/203/revision1/apjaa5816ieqn22.gif)
